mp-557998/Dy3SiCuS7/anharm

Equation of state

../../_images/fig_bm4210.png

(a) Equation of state

Harmonic properties

../../_images/fig_bandos_pr8240.png

(a) Phonon dispersion with participation ratio and DOS

../../_images/fig_bandos11588.png

(b) Phonon dispersion and DOS

../../_images/fig_thermo8240.png

(c) Thermodynamic properties

Grüneisen parameters

../../_images/fig_gru_all3371.png

(a) Grüneisen parameters

../../_images/fig_gruneisen3371.png

(b) Phonon dispersion with Grüneisen parameters

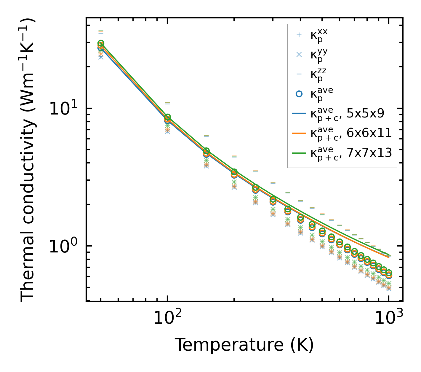
Thermal conductivity

3-phonon (LASSO) — q-mesh: 7x7x13, supercell: 1x1x2

../../_images/fig_kappa6380.png

(a) Temperature-dependent lattice thermal conductivity

../../_images/fig_kappa_vs_grain_size3415.png

(b) Peierls lattice thermal conductivity w.r.t grain size

Force constants

../../_images/fig_fc28002.png

(a) Force constants w.r.t atomic distance

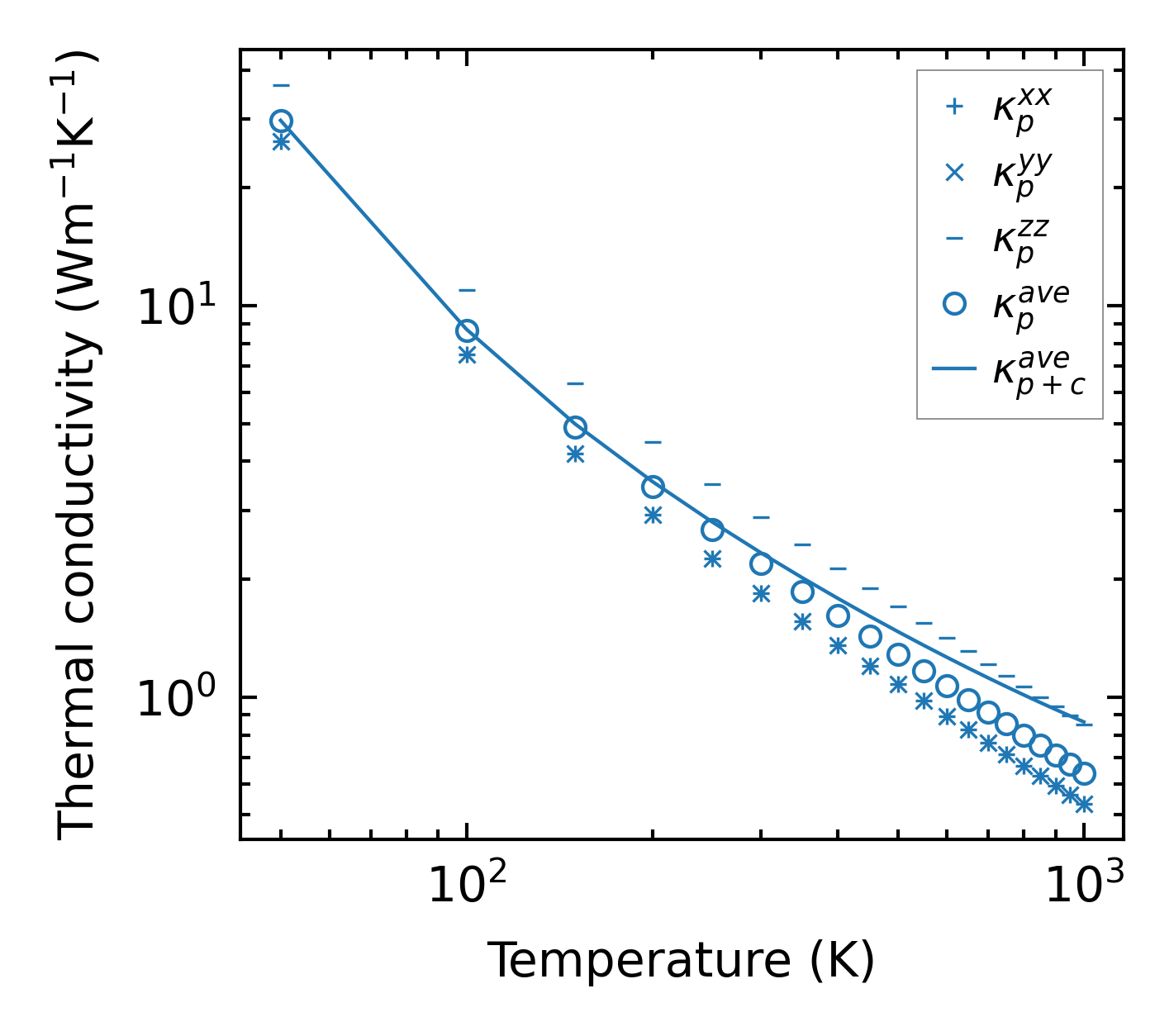
Summary

../../_images/fig_kappa6381.png

(a) Temperature-dependent lattice thermal conductivity

../../_images/fig_times14492.png

(b) Computation time