mp-557311/Sr2GeO4/anharm

Harmonic properties

../../_images/fig_bandos_pr8409.png

(a) Phonon dispersion with participation ratio and DOS

../../_images/fig_thermo8409.png

(b) Thermodynamic properties

Grüneisen parameters

../../_images/fig_gru_all3428.png

(a) Grüneisen parameters

../../_images/fig_gruneisen3428.png

(b) Phonon dispersion with Grüneisen parameters

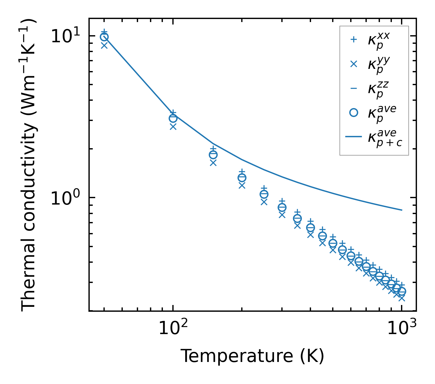
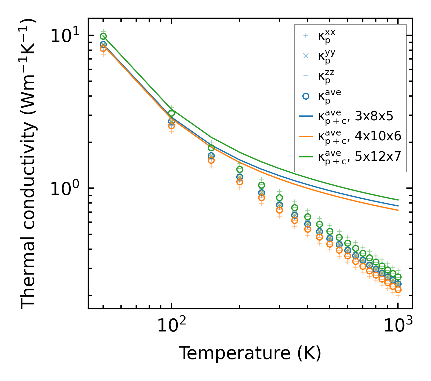
Thermal conductivity

3-phonon (LASSO) — q-mesh: 5x12x7, supercell: 1x2x1

../../_images/fig_kappa6484.png

(a) Temperature-dependent lattice thermal conductivity

../../_images/fig_kappa_vs_grain_size3471.png

(b) Peierls lattice thermal conductivity w.r.t grain size

Phonon lifetime and scattering rates

../../_images/fig_lifetime3396.png

(a) Phonon lifetime due to phonon-phonon scattering

../../_images/fig_scat_rates3395.png

(b) Phonon scattering rates

Cumulative and spectral thermal conductivity

../../_images/fig_cumu_frequency3396.png

(a) Spectral and cumulative thermal conductivity w.r.t frequency

../../_images/fig_cumu_mfp3395.png

(b) Spectral and cumulative thermal conductivity w.r.t MFP

Force constants

../../_images/fig_fc28171.png

(a) Force constants w.r.t atomic distance

Summary

../../_images/fig_kappa6485.png

(a) Temperature-dependent lattice thermal conductivity

../../_images/fig_times14765.png

(b) Computation time