mp-557031/S/anharm

Harmonic properties

../../_images/fig_bandos_pr8354.png

(a) Phonon dispersion with participation ratio and DOS

../../_images/fig_thermo8354.png

(b) Thermodynamic properties

Grüneisen parameters

../../_images/fig_gru_all3406.png

(a) Grüneisen parameters

../../_images/fig_gruneisen3406.png

(b) Phonon dispersion with Grüneisen parameters

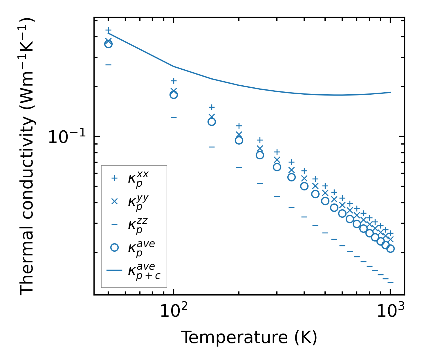
Thermal conductivity

3-phonon (LASSO) — q-mesh: 8x7x6, supercell: 2x2x1

../../_images/fig_kappa6441.png

(a) Temperature-dependent lattice thermal conductivity

../../_images/fig_kappa_vs_grain_size3449.png

(b) Peierls lattice thermal conductivity w.r.t grain size

Phonon lifetime and scattering rates

../../_images/fig_lifetime3374.png

(a) Phonon lifetime due to phonon-phonon scattering

../../_images/fig_scat_rates3373.png

(b) Phonon scattering rates

Cumulative and spectral thermal conductivity

../../_images/fig_cumu_frequency3374.png

(a) Spectral and cumulative thermal conductivity w.r.t frequency

../../_images/fig_cumu_mfp3373.png

(b) Spectral and cumulative thermal conductivity w.r.t MFP

Force constants

../../_images/fig_fc28116.png

(a) Force constants w.r.t atomic distance

Summary

../../_images/fig_kappa6442.png

(a) Temperature-dependent lattice thermal conductivity

../../_images/fig_times14676.png

(b) Computation time