mp-557467-2/Li4CaB2O6/anharm

Equation of state

../../_images/fig_bm4283.png

(a) Equation of state

Harmonic properties

../../_images/fig_bandos_pr8450.png

(a) Phonon dispersion with participation ratio and DOS

../../_images/fig_thermo8450.png

(b) Thermodynamic properties

Grüneisen parameters

../../_images/fig_gru_all3443.png

(a) Grüneisen parameters

../../_images/fig_gruneisen3443.png

(b) Phonon dispersion with Grüneisen parameters

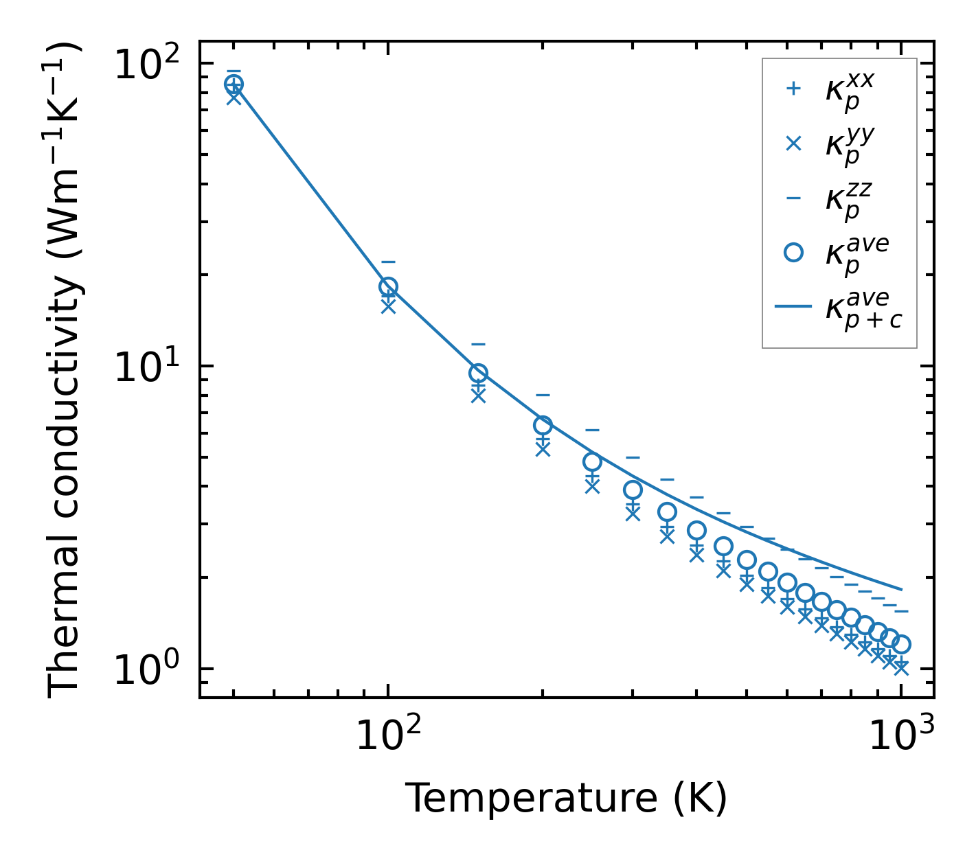
Thermal conductivity

3-phonon (LASSO) — q-mesh: 8x7x20, supercell: 1x1x3

../../_images/fig_kappa6513.png

(a) Temperature-dependent lattice thermal conductivity

../../_images/fig_kappa_vs_grain_size3486.png

(b) Peierls lattice thermal conductivity w.r.t grain size

Phonon lifetime and scattering rates

../../_images/fig_lifetime3411.png

(a) Phonon lifetime due to phonon-phonon scattering

../../_images/fig_scat_rates3410.png

(b) Phonon scattering rates

Cumulative and spectral thermal conductivity

../../_images/fig_cumu_frequency3411.png

(a) Spectral and cumulative thermal conductivity w.r.t frequency

../../_images/fig_cumu_mfp3410.png

(b) Spectral and cumulative thermal conductivity w.r.t MFP

Force constants

../../_images/fig_fc28212.png

(a) Force constants w.r.t atomic distance

Summary

../../_images/fig_kappa6514.png

(a) Temperature-dependent lattice thermal conductivity

../../_images/fig_times14822.png

(b) Computation time