mp-557384/MgUB2O7/anharm

Harmonic properties

../../_images/fig_bandos_pr8427.png

(a) Phonon dispersion with participation ratio and DOS

../../_images/fig_thermo8427.png

(b) Thermodynamic properties

Grüneisen parameters

../../_images/fig_gru_all3433.png

(a) Grüneisen parameters

../../_images/fig_gruneisen3433.png

(b) Phonon dispersion with Grüneisen parameters

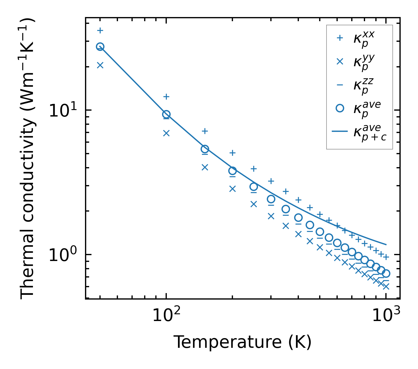
Thermal conductivity

3-phonon (LASSO) — q-mesh: 9x7x9, supercell: 2x1x1

../../_images/fig_kappa6493.png

(a) Temperature-dependent lattice thermal conductivity

../../_images/fig_kappa_vs_grain_size3476.png

(b) Peierls lattice thermal conductivity w.r.t grain size

Phonon lifetime and scattering rates

../../_images/fig_lifetime3401.png

(a) Phonon lifetime due to phonon-phonon scattering

../../_images/fig_scat_rates3400.png

(b) Phonon scattering rates

Cumulative and spectral thermal conductivity

../../_images/fig_cumu_frequency3401.png

(a) Spectral and cumulative thermal conductivity w.r.t frequency

../../_images/fig_cumu_mfp3400.png

(b) Spectral and cumulative thermal conductivity w.r.t MFP

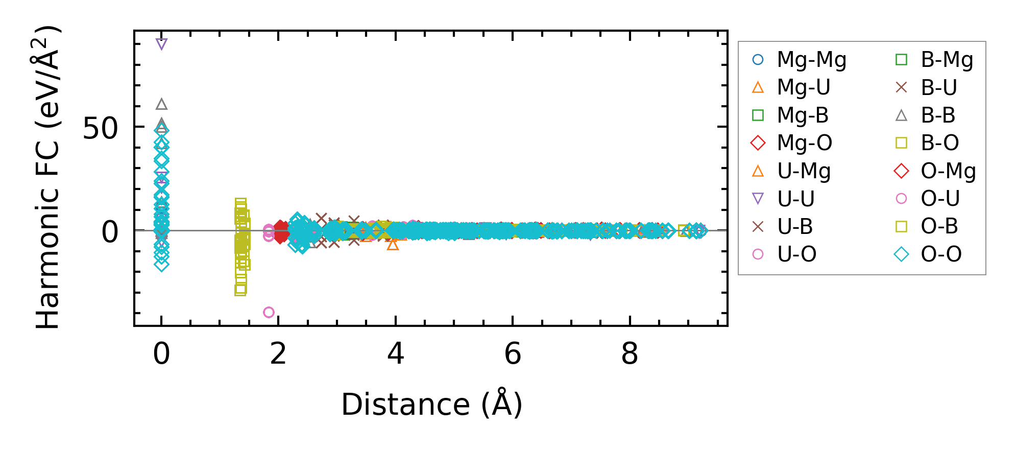
Force constants

../../_images/fig_fc28189.png

(a) Force constants w.r.t atomic distance

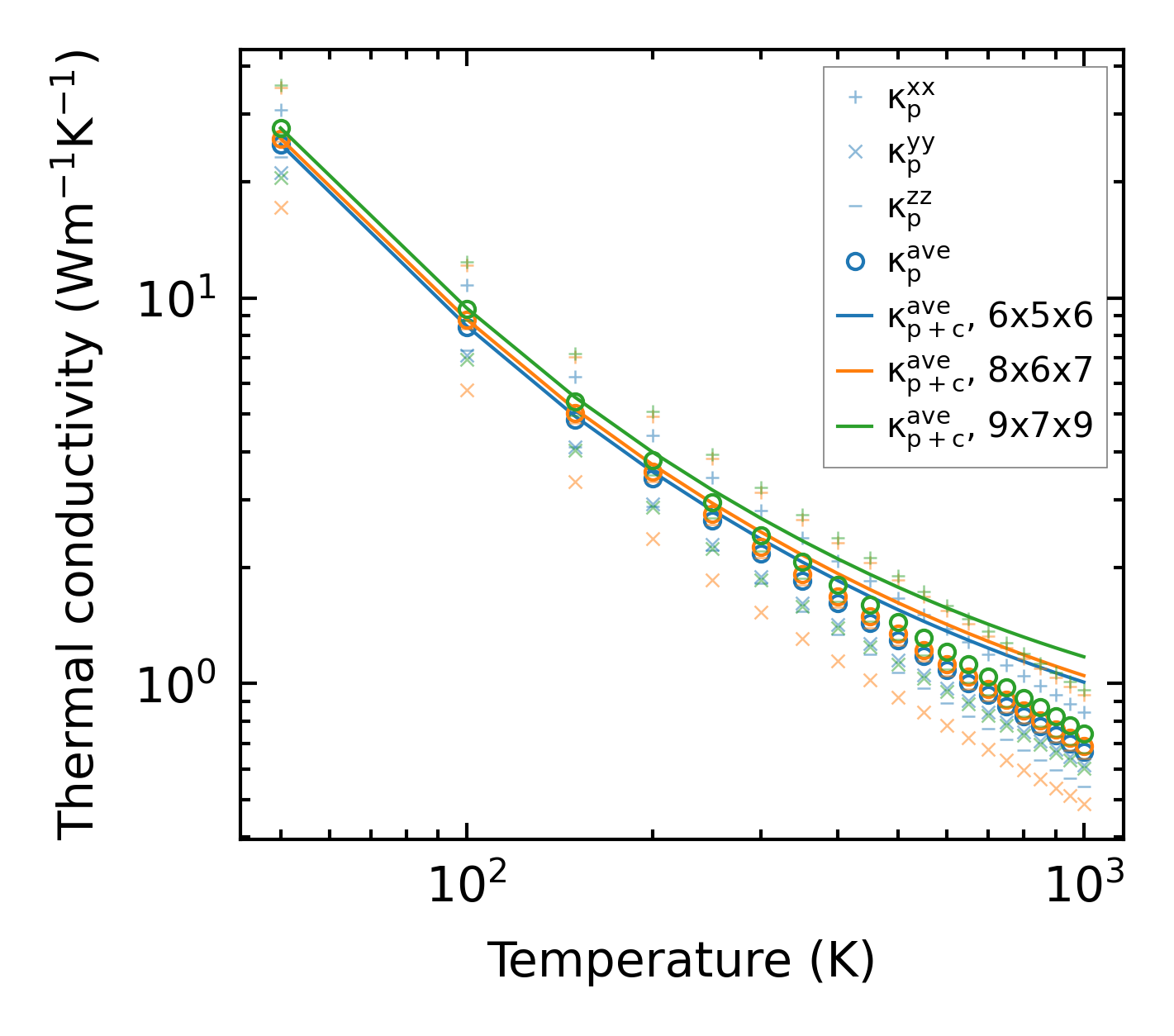
Summary

../../_images/fig_kappa6494.png

(a) Temperature-dependent lattice thermal conductivity

../../_images/fig_times14788.png

(b) Computation time