mp-557993/BiO2/anharm

Equation of state

../../_images/fig_bm4208.png

(a) Equation of state

Harmonic properties

../../_images/fig_bandos_pr8236.png

(a) Phonon dispersion with participation ratio and DOS

../../_images/fig_bandos11583.png

(b) Phonon dispersion and DOS

../../_images/fig_thermo8236.png

(c) Thermodynamic properties

Grüneisen parameters

../../_images/fig_gru_all3369.png

(a) Grüneisen parameters

../../_images/fig_gruneisen3369.png

(b) Phonon dispersion with Grüneisen parameters

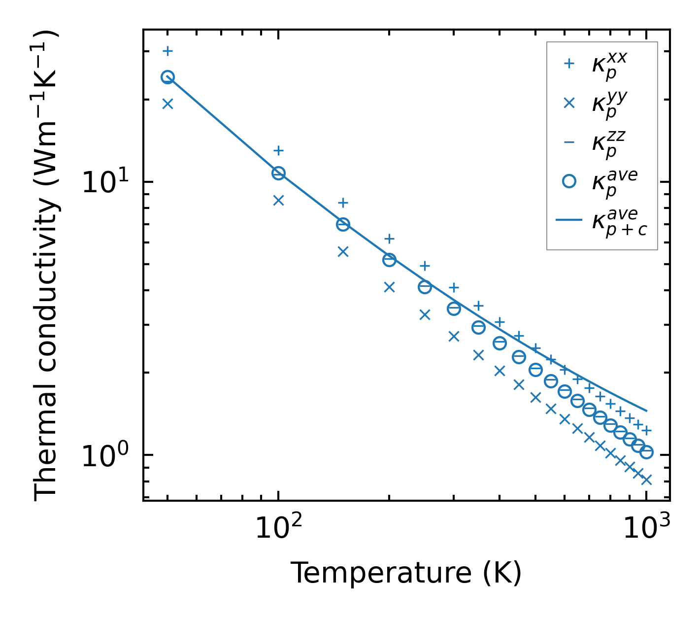
Thermal conductivity

3-phonon (LASSO), supercell 1x3x3 — q-mesh: 12x12x14, supercell: 1x3x3

../../_images/fig_kappa6378.png

(a) Temperature-dependent lattice thermal conductivity

../../_images/fig_kappa_vs_grain_size3413.png

(b) Peierls lattice thermal conductivity w.r.t grain size

Phonon lifetime and scattering rates

../../_images/fig_lifetime3339.png

(a) Phonon lifetime due to phonon-phonon scattering

../../_images/fig_scat_rates3338.png

(b) Phonon scattering rates

Cumulative and spectral thermal conductivity

../../_images/fig_cumu_frequency3339.png

(a) Spectral and cumulative thermal conductivity w.r.t frequency

../../_images/fig_cumu_mfp3338.png

(b) Spectral and cumulative thermal conductivity w.r.t MFP

Force constants

../../_images/fig_fc27998.png

(a) Force constants w.r.t atomic distance

Summary

../../_images/fig_times14487.png

(a) Computation time