mp-557457/TmSeO3F/anharm

Harmonic properties

../../_images/fig_bandos_pr8446.png

(a) Phonon dispersion with participation ratio and DOS

../../_images/fig_thermo8446.png

(b) Thermodynamic properties

Grüneisen parameters

../../_images/fig_gru_all3439.png

(a) Grüneisen parameters

../../_images/fig_gruneisen3439.png

(b) Phonon dispersion with Grüneisen parameters

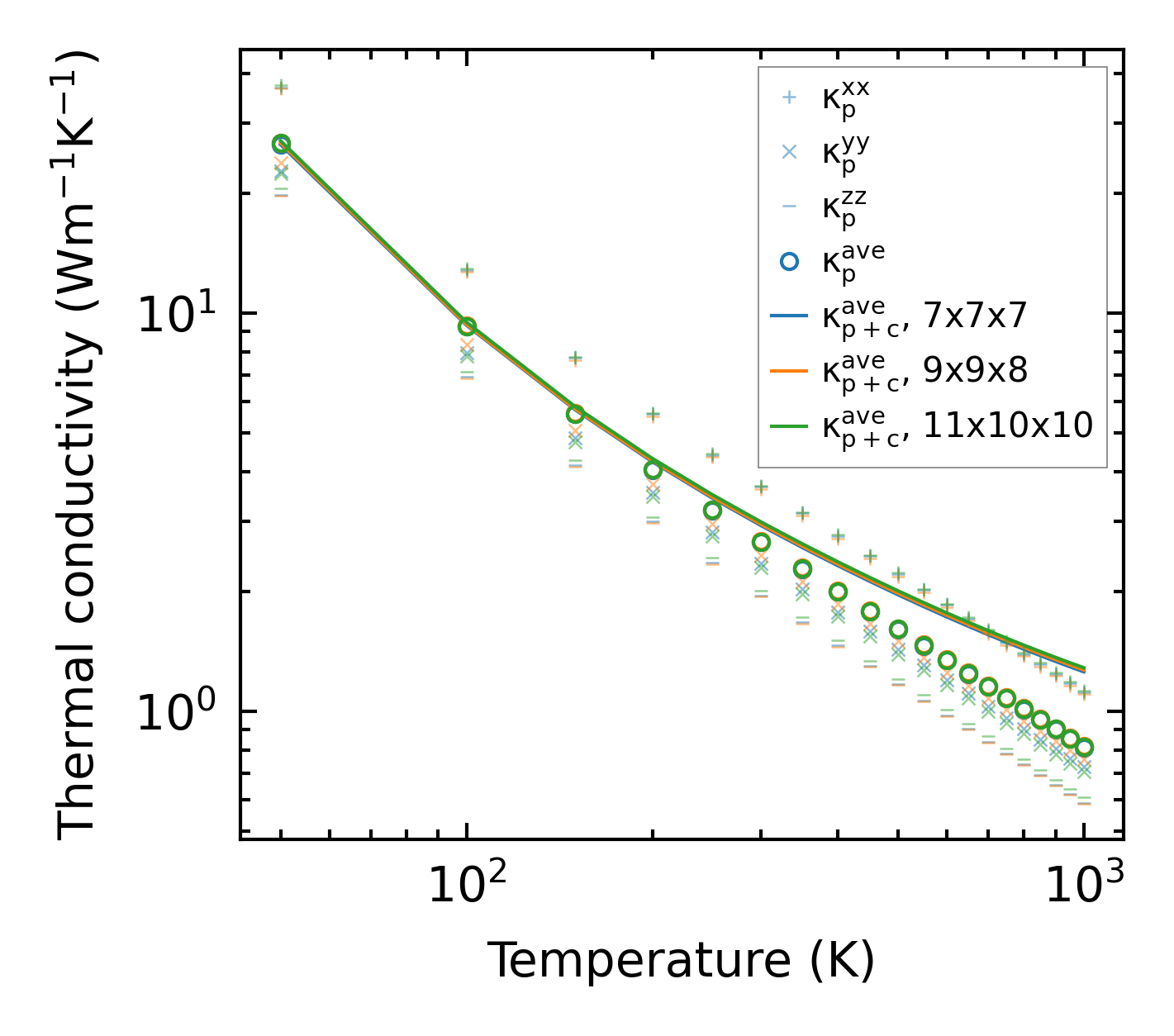
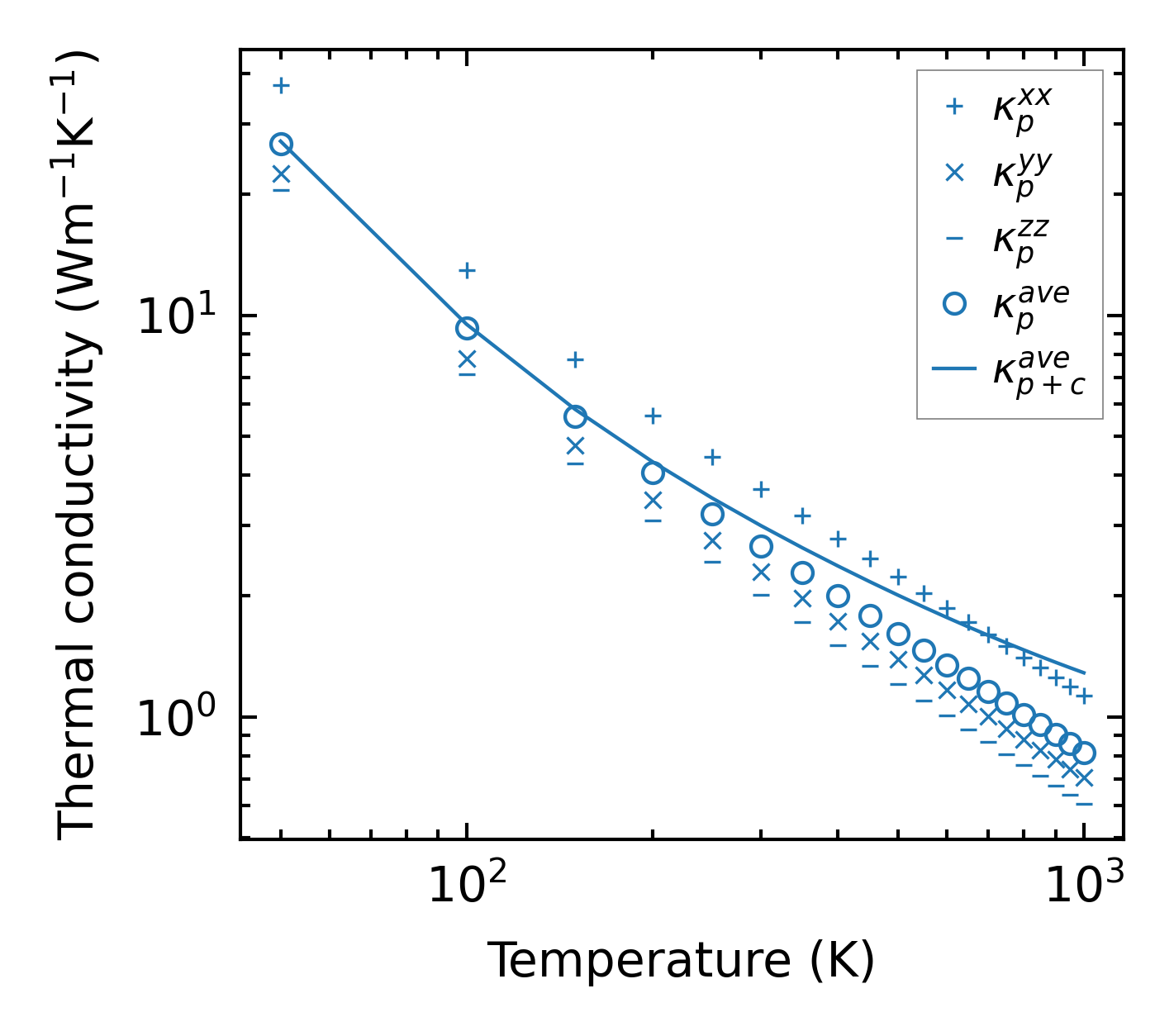
Thermal conductivity

3-phonon (LASSO) — q-mesh: 11x10x10, supercell: 2x2x1

../../_images/fig_kappa6505.png

(a) Temperature-dependent lattice thermal conductivity

../../_images/fig_kappa_vs_grain_size3482.png

(b) Peierls lattice thermal conductivity w.r.t grain size

Phonon lifetime and scattering rates

../../_images/fig_lifetime3407.png

(a) Phonon lifetime due to phonon-phonon scattering

../../_images/fig_scat_rates3406.png

(b) Phonon scattering rates

Cumulative and spectral thermal conductivity

../../_images/fig_cumu_frequency3407.png

(a) Spectral and cumulative thermal conductivity w.r.t frequency

../../_images/fig_cumu_mfp3406.png

(b) Spectral and cumulative thermal conductivity w.r.t MFP

Force constants

../../_images/fig_fc28208.png

(a) Force constants w.r.t atomic distance

Summary

../../_images/fig_kappa6506.png

(a) Temperature-dependent lattice thermal conductivity

../../_images/fig_times14816.png

(b) Computation time