mp-557183-2/KNaZnO2/anharm

Equation of state

../../_images/fig_bm4264.png

(a) Equation of state

Harmonic properties

../../_images/fig_bandos_pr8387.png

(a) Phonon dispersion with participation ratio and DOS

../../_images/fig_bandos11787.png

(b) Phonon dispersion and DOS

../../_images/fig_thermo8387.png

(c) Thermodynamic properties

Grüneisen parameters

../../_images/fig_gru_all3419.png

(a) Grüneisen parameters

../../_images/fig_gruneisen3419.png

(b) Phonon dispersion with Grüneisen parameters

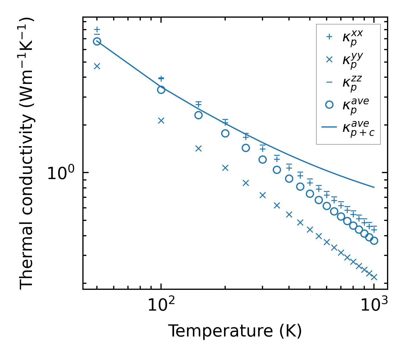
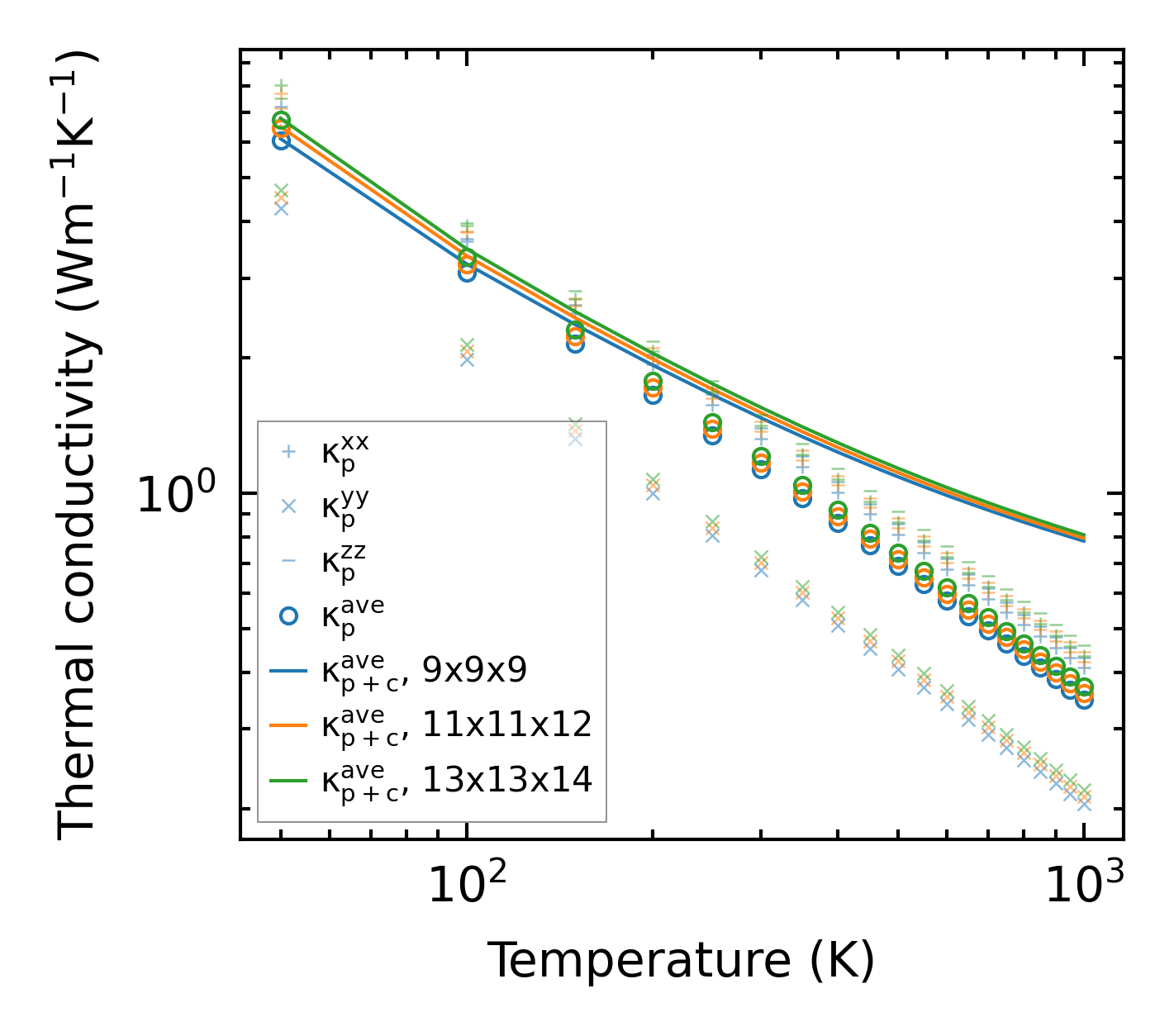
Thermal conductivity

3-phonon (LASSO) — q-mesh: 13x13x14, supercell: 2x1x2

../../_images/fig_kappa6466.png

(a) Temperature-dependent lattice thermal conductivity

../../_images/fig_kappa_vs_grain_size3462.png

(b) Peierls lattice thermal conductivity w.r.t grain size

Phonon lifetime and scattering rates

../../_images/fig_lifetime3387.png

(a) Phonon lifetime due to phonon-phonon scattering

../../_images/fig_scat_rates3386.png

(b) Phonon scattering rates

Cumulative and spectral thermal conductivity

../../_images/fig_cumu_frequency3387.png

(a) Spectral and cumulative thermal conductivity w.r.t frequency

../../_images/fig_cumu_mfp3386.png

(b) Spectral and cumulative thermal conductivity w.r.t MFP

Force constants

../../_images/fig_fc28149.png

(a) Force constants w.r.t atomic distance

Summary

../../_images/fig_kappa6467.png

(a) Temperature-dependent lattice thermal conductivity

../../_images/fig_times14726.png

(b) Computation time