mp-557372/Rb2Ge4O9/anharm

Harmonic properties

../../_images/fig_bandos_pr8421.png

(a) Phonon dispersion with participation ratio and DOS

../../_images/fig_thermo8421.png

(b) Thermodynamic properties

Grüneisen parameters

../../_images/fig_gru_all3429.png

(a) Grüneisen parameters

../../_images/fig_gruneisen3429.png

(b) Phonon dispersion with Grüneisen parameters

Thermal conductivity

3-phonon (LASSO) — q-mesh: 6x6x7, supercell: 1x1x1

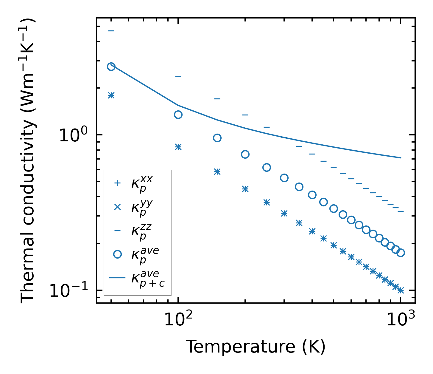
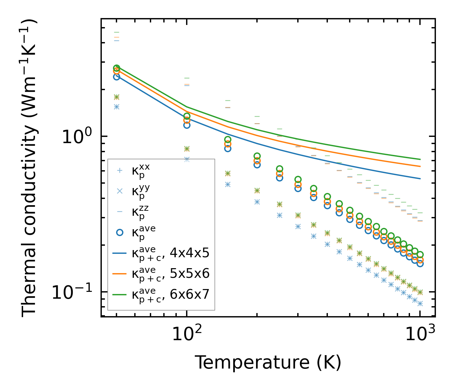
../../_images/fig_kappa6486.png

(a) Temperature-dependent lattice thermal conductivity

../../_images/fig_kappa_vs_grain_size3472.png

(b) Peierls lattice thermal conductivity w.r.t grain size

Phonon lifetime and scattering rates

../../_images/fig_lifetime3397.png

(a) Phonon lifetime due to phonon-phonon scattering

../../_images/fig_scat_rates3396.png

(b) Phonon scattering rates

Cumulative and spectral thermal conductivity

../../_images/fig_cumu_frequency3397.png

(a) Spectral and cumulative thermal conductivity w.r.t frequency

../../_images/fig_cumu_mfp3396.png

(b) Spectral and cumulative thermal conductivity w.r.t MFP

Force constants

../../_images/fig_fc28183.png

(a) Force constants w.r.t atomic distance

Summary

../../_images/fig_kappa6487.png

(a) Temperature-dependent lattice thermal conductivity

../../_images/fig_times14782.png

(b) Computation time