mp-557664-2/Cs2TlBiF6/harm

Equation of state

../../_images/fig_bm4175.png

(a) Equation of state

Harmonic properties

../../_images/fig_bandos_pr8153.png

(a) Phonon dispersion with participation ratio and DOS

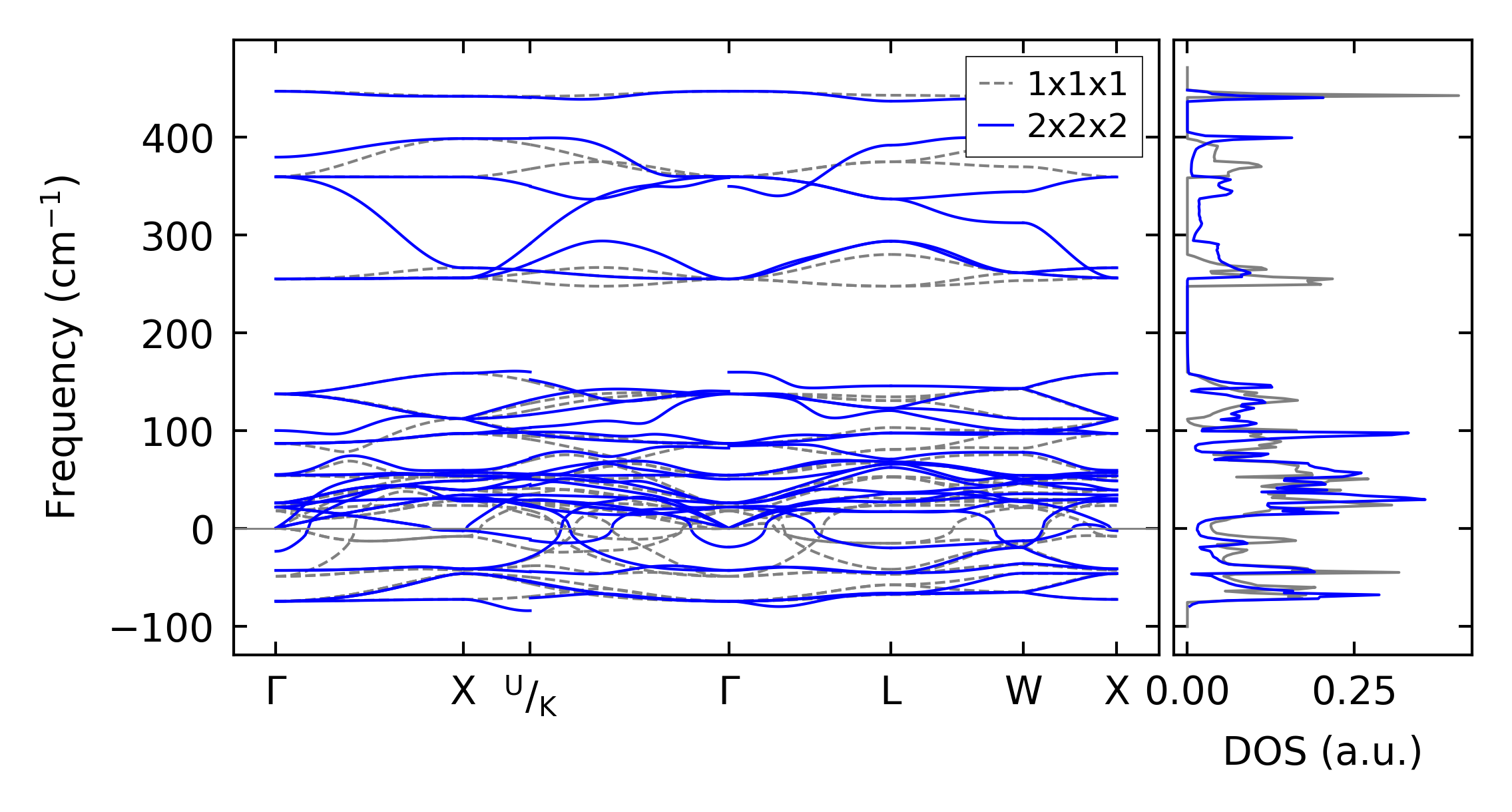
../../_images/fig_bandos11465.png

(b) Phonon dispersion and DOS

../../_images/fig_thermo8153.png

(c) Thermodynamic properties

Force constants

../../_images/fig_fc27915.png

(a) Force constants w.r.t atomic distance

Summary

../../_images/fig_times14353.png

(a) Computation time