mp-557807-2/CsK2AuO2/anharm

Equation of state

../../_images/fig_bm4191.png

(a) Equation of state

Harmonic properties

../../_images/fig_bandos_pr8187.png

(a) Phonon dispersion with participation ratio and DOS

../../_images/fig_thermo8187.png

(b) Thermodynamic properties

Grüneisen parameters

../../_images/fig_gru_all3360.png

(a) Grüneisen parameters

../../_images/fig_gruneisen3360.png

(b) Phonon dispersion with Grüneisen parameters

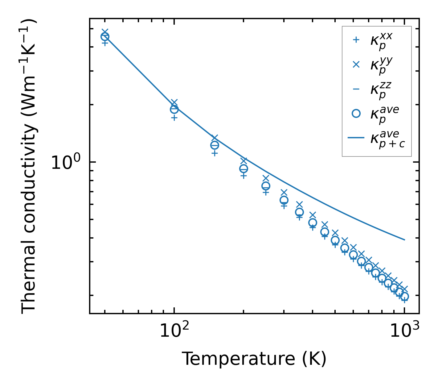
Thermal conductivity

3-phonon (LASSO) — q-mesh: 5x9x11, supercell: 1x2x2

../../_images/fig_kappa6360.png

(a) Temperature-dependent lattice thermal conductivity

../../_images/fig_kappa_vs_grain_size3404.png

(b) Peierls lattice thermal conductivity w.r.t grain size

Phonon lifetime and scattering rates

../../_images/fig_lifetime3330.png

(a) Phonon lifetime due to phonon-phonon scattering

../../_images/fig_scat_rates3329.png

(b) Phonon scattering rates

Cumulative and spectral thermal conductivity

../../_images/fig_cumu_frequency3330.png

(a) Spectral and cumulative thermal conductivity w.r.t frequency

../../_images/fig_cumu_mfp3329.png

(b) Spectral and cumulative thermal conductivity w.r.t MFP

Force constants

../../_images/fig_fc27949.png

(a) Force constants w.r.t atomic distance

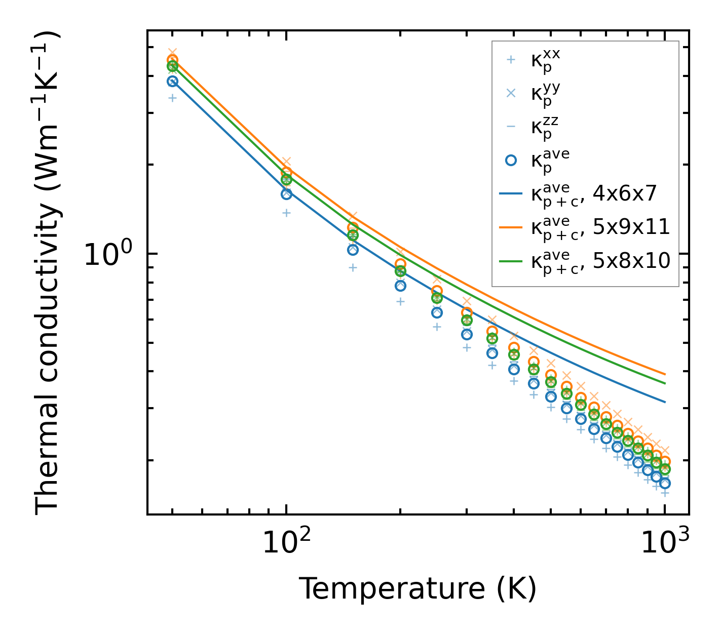
Summary

../../_images/fig_kappa6361.png

(a) Temperature-dependent lattice thermal conductivity

../../_images/fig_times14410.png

(b) Computation time