mp-557540-2/Rb2AgSbS4/anharm

Equation of state

../../_images/fig_bm4165.png

(a) Equation of state

Harmonic properties

../../_images/fig_bandos_pr8128.png

(a) Phonon dispersion with participation ratio and DOS

../../_images/fig_thermo8128.png

(b) Thermodynamic properties

Grüneisen parameters

../../_images/fig_gru_all3348.png

(a) Grüneisen parameters

../../_images/fig_gruneisen3348.png

(b) Phonon dispersion with Grüneisen parameters

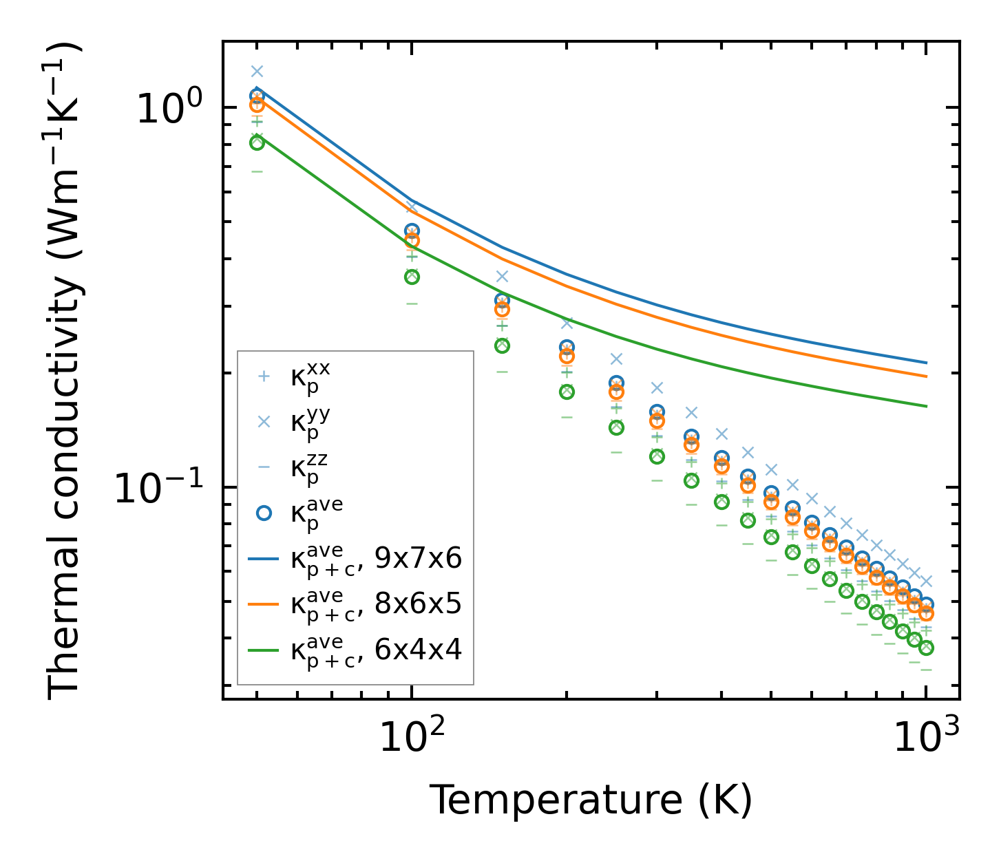
Thermal conductivity

3-phonon (LASSO) — q-mesh: 9x7x6, supercell: 2x2x1

../../_images/fig_kappa6337.png

(a) Temperature-dependent lattice thermal conductivity

../../_images/fig_kappa_vs_grain_size3391.png

(b) Peierls lattice thermal conductivity w.r.t grain size

Phonon lifetime and scattering rates

../../_images/fig_lifetime3318.png

(a) Phonon lifetime due to phonon-phonon scattering

../../_images/fig_scat_rates3317.png

(b) Phonon scattering rates

Cumulative and spectral thermal conductivity

../../_images/fig_cumu_frequency3318.png

(a) Spectral and cumulative thermal conductivity w.r.t frequency

../../_images/fig_cumu_mfp3317.png

(b) Spectral and cumulative thermal conductivity w.r.t MFP

Force constants

../../_images/fig_fc27890.png

(a) Force constants w.r.t atomic distance

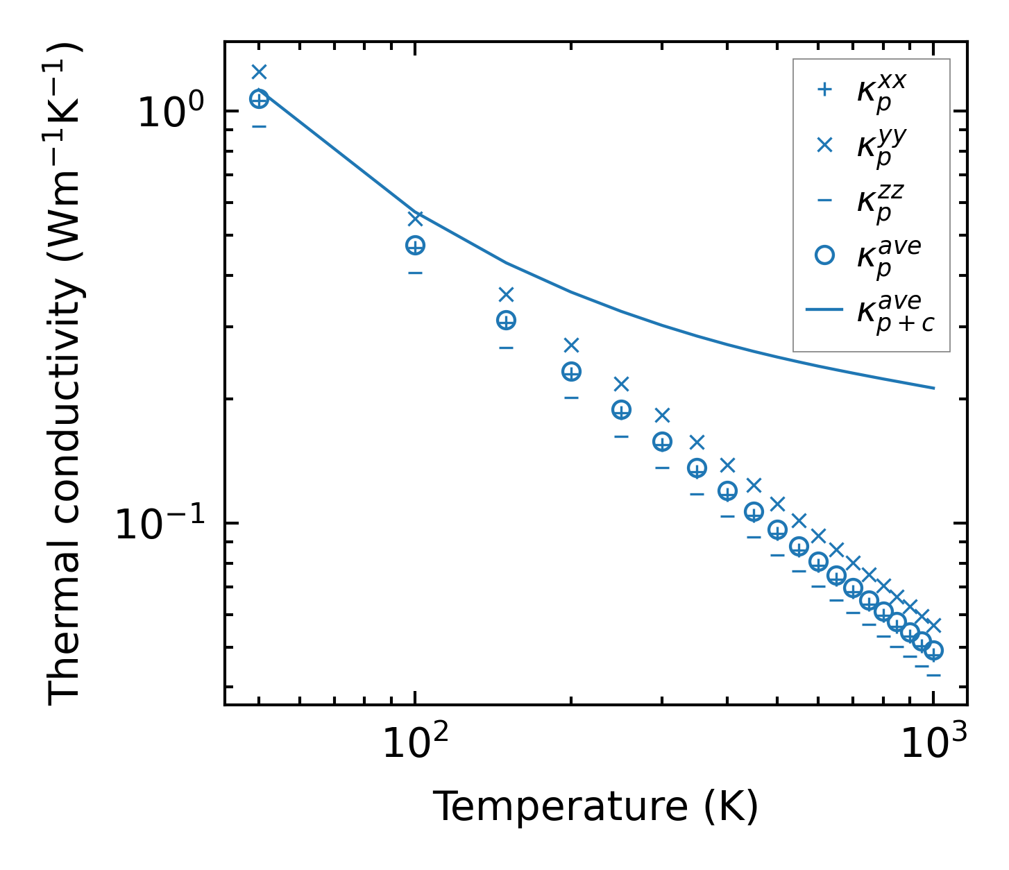
Summary

../../_images/fig_kappa6338.png

(a) Temperature-dependent lattice thermal conductivity

../../_images/fig_times14312.png

(b) Computation time