mp-557787-2/TlSbO3/anharm

Equation of state

../../_images/fig_bm4189.png

(a) Equation of state

Harmonic properties

../../_images/fig_bandos_pr8183.png

(a) Phonon dispersion with participation ratio and DOS

../../_images/fig_thermo8183.png

(b) Thermodynamic properties

Grüneisen parameters

../../_images/fig_gru_all3358.png

(a) Grüneisen parameters

../../_images/fig_gruneisen3358.png

(b) Phonon dispersion with Grüneisen parameters

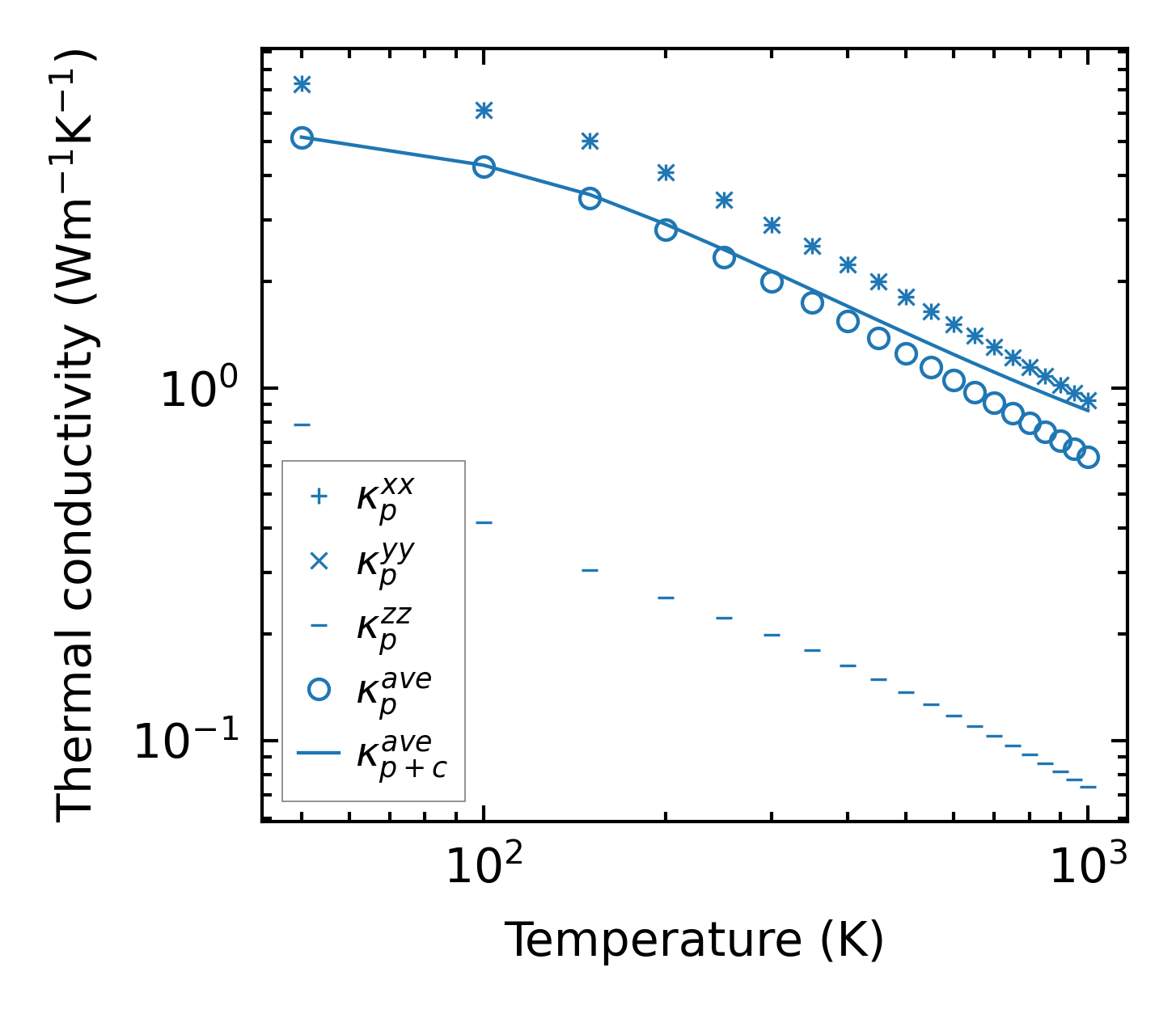
Thermal conductivity

3-phonon (LASSO) — q-mesh: 14x14x5, supercell: 2x2x1

../../_images/fig_kappa6355.png

(a) Temperature-dependent lattice thermal conductivity

../../_images/fig_kappa_vs_grain_size3401.png

(b) Peierls lattice thermal conductivity w.r.t grain size

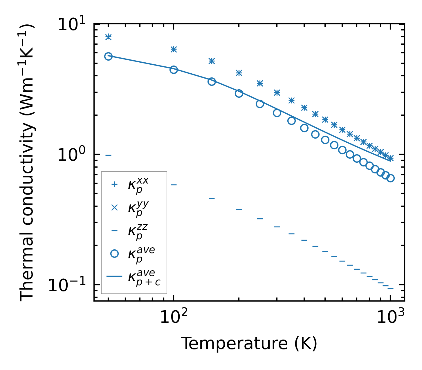
3-phonon (LASSO), supercell 3x3x1 — q-mesh: 14x14x5, supercell: 3x3x1

../../_images/fig_kappa6356.png

(a) Temperature-dependent lattice thermal conductivity

../../_images/fig_kappa_vs_grain_size3402.png

(b) Peierls lattice thermal conductivity w.r.t grain size

Phonon lifetime and scattering rates

../../_images/fig_lifetime3328.png

(a) Phonon lifetime due to phonon-phonon scattering

../../_images/fig_scat_rates3327.png

(b) Phonon scattering rates

Cumulative and spectral thermal conductivity

../../_images/fig_cumu_frequency3328.png

(a) Spectral and cumulative thermal conductivity w.r.t frequency

../../_images/fig_cumu_mfp3327.png

(b) Spectral and cumulative thermal conductivity w.r.t MFP

Force constants

../../_images/fig_fc27945.png

(a) Force constants w.r.t atomic distance

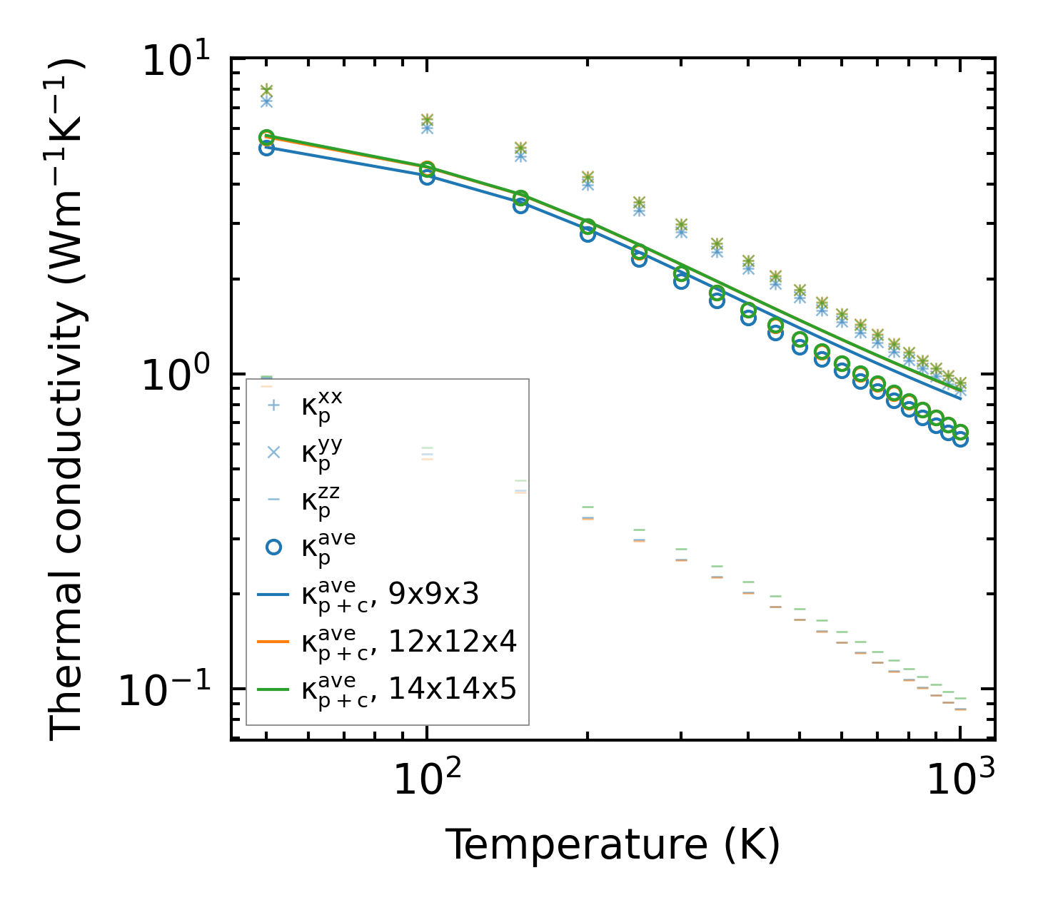
Summary

../../_images/fig_kappa6357.png

(a) Temperature-dependent lattice thermal conductivity

../../_images/fig_times14404.png

(b) Computation time