mp-557268/KLi4AlO4/anharm

Harmonic properties

../../_images/fig_bandos_pr8402.png

(a) Phonon dispersion with participation ratio and DOS

../../_images/fig_thermo8402.png

(b) Thermodynamic properties

Grüneisen parameters

../../_images/fig_gru_all3424.png

(a) Grüneisen parameters

../../_images/fig_gruneisen3424.png

(b) Phonon dispersion with Grüneisen parameters

Thermal conductivity

3-phonon (LASSO) — q-mesh: 13x4x6, supercell: 1x1x1

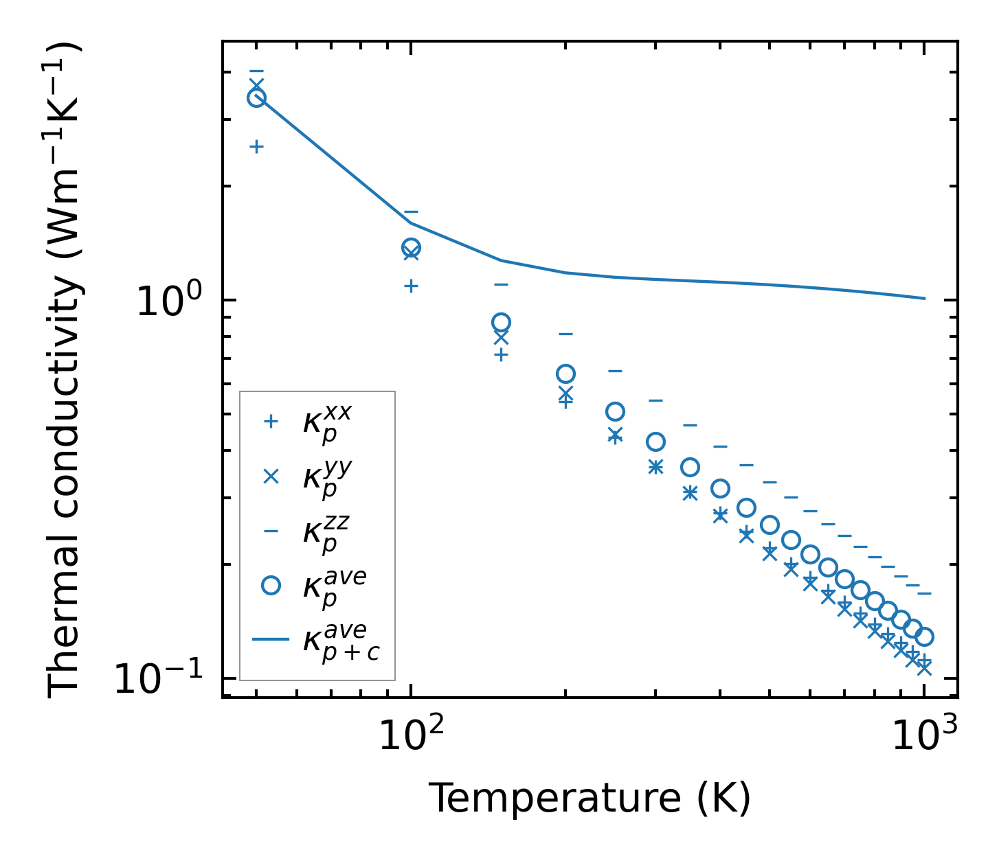
../../_images/fig_kappa6476.png

(a) Temperature-dependent lattice thermal conductivity

../../_images/fig_kappa_vs_grain_size3467.png

(b) Peierls lattice thermal conductivity w.r.t grain size

Phonon lifetime and scattering rates

../../_images/fig_lifetime3392.png

(a) Phonon lifetime due to phonon-phonon scattering

../../_images/fig_scat_rates3391.png

(b) Phonon scattering rates

Cumulative and spectral thermal conductivity

../../_images/fig_cumu_frequency3392.png

(a) Spectral and cumulative thermal conductivity w.r.t frequency

../../_images/fig_cumu_mfp3391.png

(b) Spectral and cumulative thermal conductivity w.r.t MFP

Force constants

../../_images/fig_fc28164.png

(a) Force constants w.r.t atomic distance

Summary

../../_images/fig_kappa6477.png

(a) Temperature-dependent lattice thermal conductivity

../../_images/fig_times14753.png

(b) Computation time