mp-557151/ZnS/anharm

Harmonic properties

../../_images/fig_bandos_pr8380.png

(a) Phonon dispersion with participation ratio and DOS

../../_images/fig_thermo8380.png

(b) Thermodynamic properties

Grüneisen parameters

../../_images/fig_gru_all3416.png

(a) Grüneisen parameters

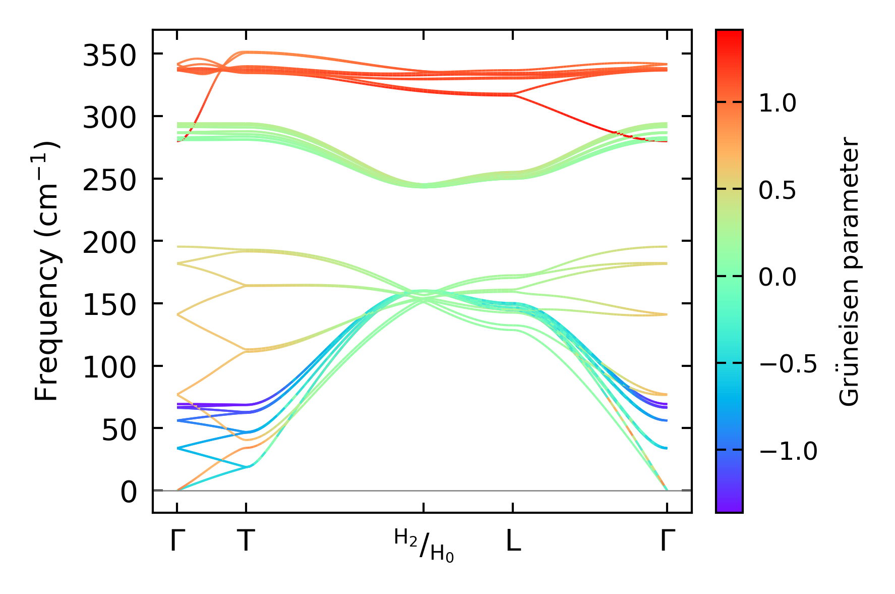
../../_images/fig_gruneisen3416.png

(b) Phonon dispersion with Grüneisen parameters

Thermal conductivity

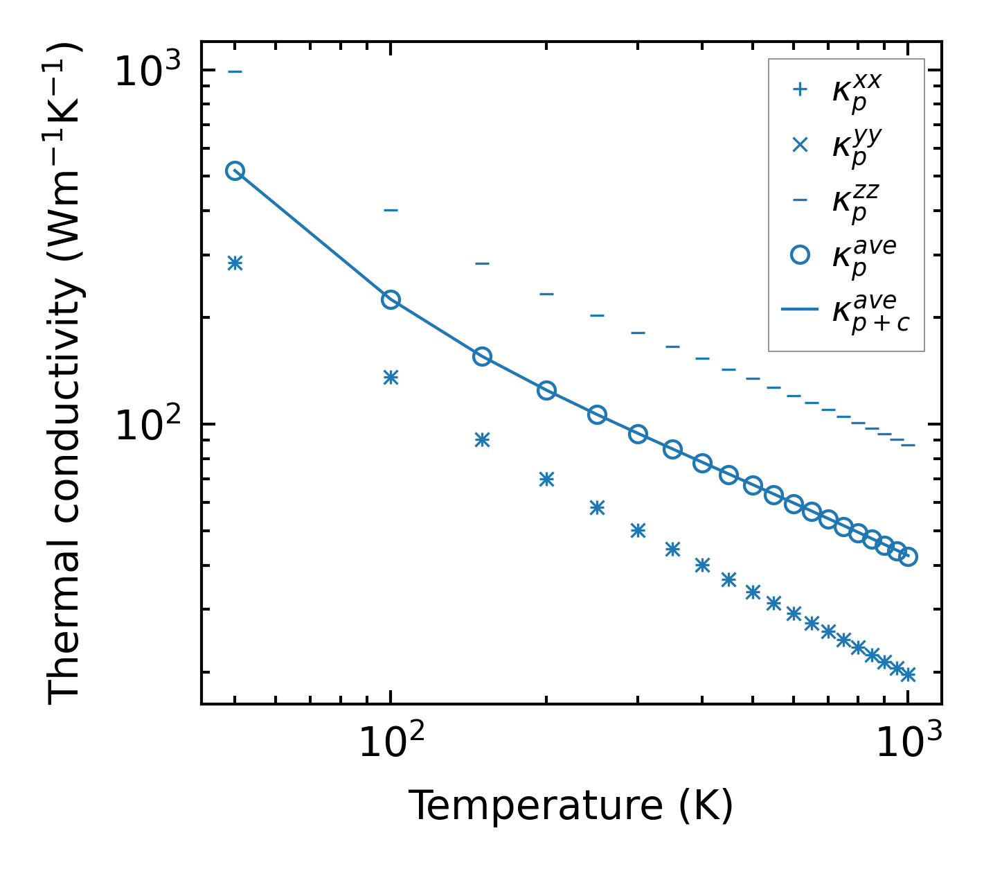
3-phonon (LASSO) — q-mesh: 10x10x10, supercell: 1x1x1

../../_images/fig_kappa6460.png

(a) Temperature-dependent lattice thermal conductivity

../../_images/fig_kappa_vs_grain_size3459.png

(b) Peierls lattice thermal conductivity w.r.t grain size

Phonon lifetime and scattering rates

../../_images/fig_lifetime3384.png

(a) Phonon lifetime due to phonon-phonon scattering

../../_images/fig_scat_rates3383.png

(b) Phonon scattering rates

Cumulative and spectral thermal conductivity

../../_images/fig_cumu_frequency3384.png

(a) Spectral and cumulative thermal conductivity w.r.t frequency

../../_images/fig_cumu_mfp3383.png

(b) Spectral and cumulative thermal conductivity w.r.t MFP

Force constants

../../_images/fig_fc28142.png

(a) Force constants w.r.t atomic distance

Summary

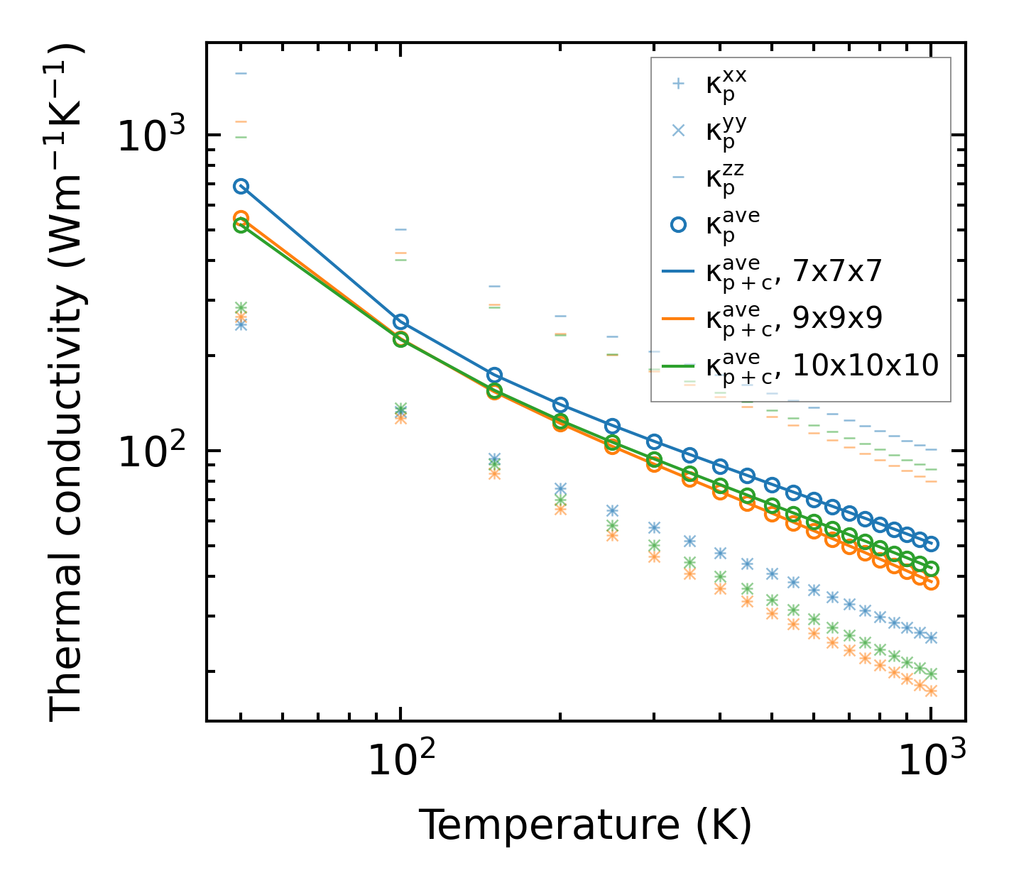
../../_images/fig_kappa6461.png

(a) Temperature-dependent lattice thermal conductivity

../../_images/fig_times14714.png

(b) Computation time