mp-557969-2/LiLa2S2O8F3/harm

Equation of state

../../_images/fig_bm4205.png

(a) Equation of state

Harmonic properties

../../_images/fig_bandos_pr8233.png

(a) Phonon dispersion with participation ratio and DOS

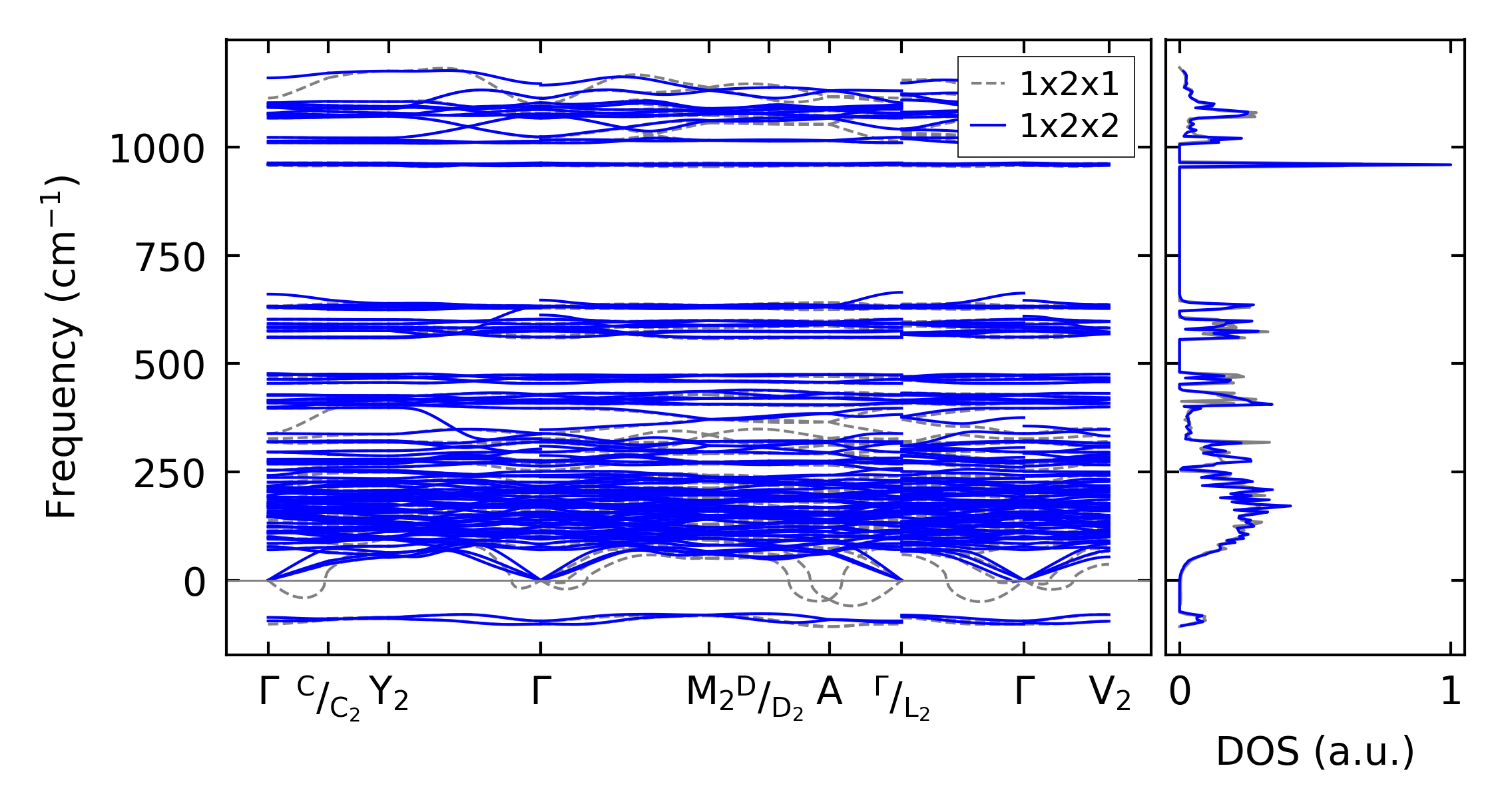
../../_images/fig_bandos11575.png

(b) Phonon dispersion and DOS

../../_images/fig_thermo8233.png

(c) Thermodynamic properties

Force constants

../../_images/fig_fc27995.png

(a) Force constants w.r.t atomic distance

Summary

../../_images/fig_times14479.png

(a) Computation time