mp-557631-2/AgAsXe2F10/anharm

Equation of state

../../_images/fig_bm4169.png

(a) Equation of state

Harmonic properties

../../_images/fig_bandos_pr8142.png

(a) Phonon dispersion with participation ratio and DOS

../../_images/fig_bandos11449.png

(b) Phonon dispersion and DOS

../../_images/fig_thermo8142.png

(c) Thermodynamic properties

Grüneisen parameters

../../_images/fig_gru_all3350.png

(a) Grüneisen parameters

../../_images/fig_gruneisen3350.png

(b) Phonon dispersion with Grüneisen parameters

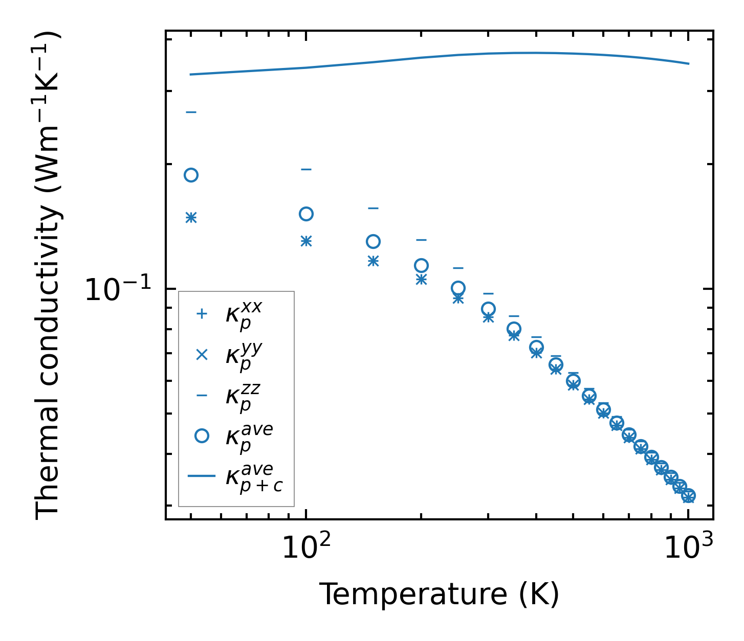
Thermal conductivity

3-phonon (LASSO), supercell 2x2x1 — q-mesh: 9x9x9, supercell: 2x2x1

../../_images/fig_kappa6341.png

(a) Temperature-dependent lattice thermal conductivity

../../_images/fig_kappa_vs_grain_size3393.png

(b) Peierls lattice thermal conductivity w.r.t grain size

Phonon lifetime and scattering rates

../../_images/fig_lifetime3320.png

(a) Phonon lifetime due to phonon-phonon scattering

../../_images/fig_scat_rates3319.png

(b) Phonon scattering rates

Cumulative and spectral thermal conductivity

../../_images/fig_cumu_frequency3320.png

(a) Spectral and cumulative thermal conductivity w.r.t frequency

../../_images/fig_cumu_mfp3319.png

(b) Spectral and cumulative thermal conductivity w.r.t MFP

Force constants

../../_images/fig_fc27904.png

(a) Force constants w.r.t atomic distance

Summary

../../_images/fig_times14337.png

(a) Computation time