mp-557463-2/Na3ScSi2O7/anharm

Equation of state

../../_images/fig_bm4281.png

(a) Equation of state

Harmonic properties

../../_images/fig_bandos_pr8448.png

(a) Phonon dispersion with participation ratio and DOS

../../_images/fig_thermo8448.png

(b) Thermodynamic properties

Grüneisen parameters

../../_images/fig_gru_all3441.png

(a) Grüneisen parameters

../../_images/fig_gruneisen3441.png

(b) Phonon dispersion with Grüneisen parameters

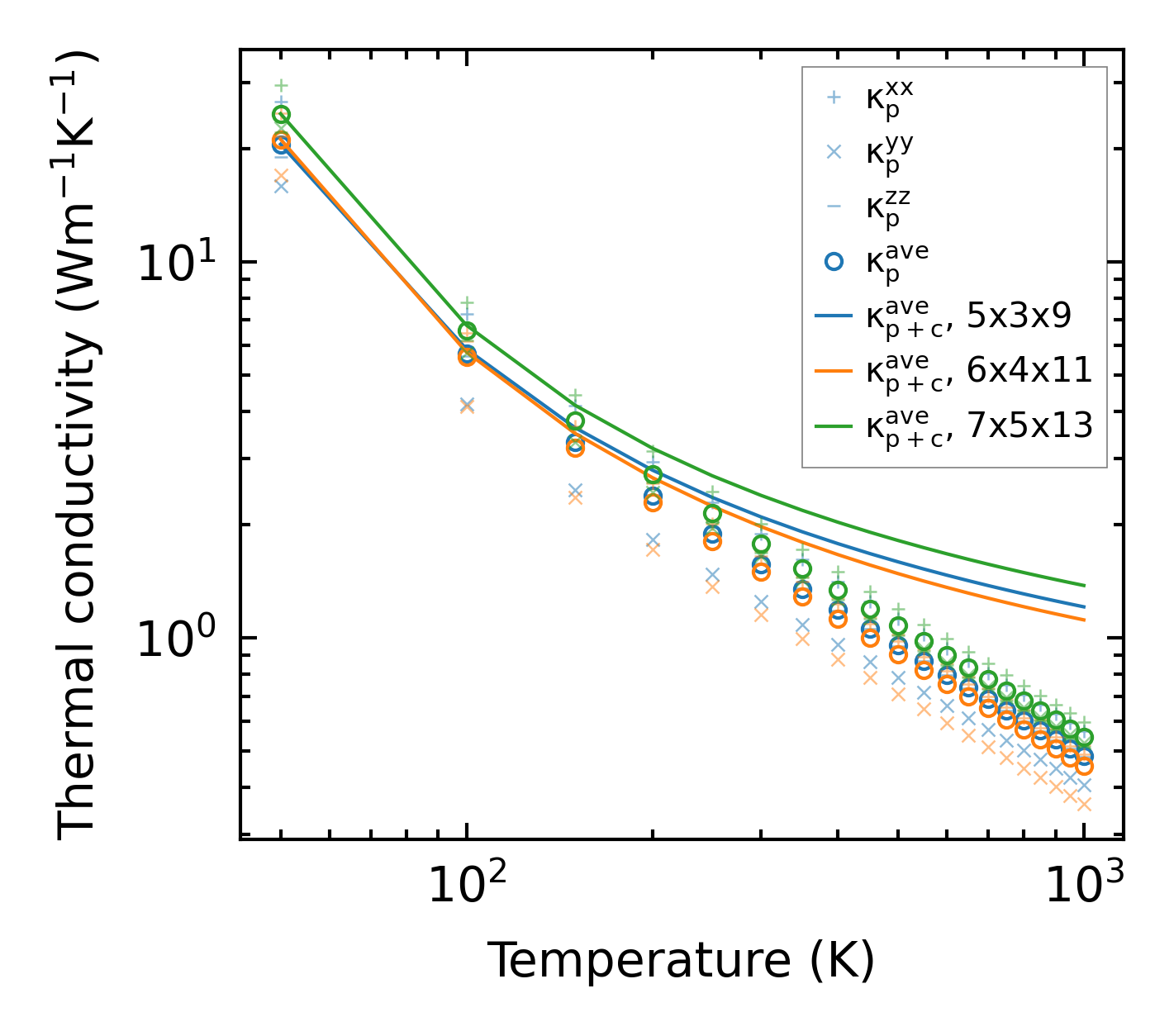
Thermal conductivity

3-phonon (LASSO) — q-mesh: 7x5x13, supercell: 1x1x2

../../_images/fig_kappa6509.png

(a) Temperature-dependent lattice thermal conductivity

../../_images/fig_kappa_vs_grain_size3484.png

(b) Peierls lattice thermal conductivity w.r.t grain size

Phonon lifetime and scattering rates

../../_images/fig_lifetime3409.png

(a) Phonon lifetime due to phonon-phonon scattering

../../_images/fig_scat_rates3408.png

(b) Phonon scattering rates

Cumulative and spectral thermal conductivity

../../_images/fig_cumu_frequency3409.png

(a) Spectral and cumulative thermal conductivity w.r.t frequency

../../_images/fig_cumu_mfp3408.png

(b) Spectral and cumulative thermal conductivity w.r.t MFP

Force constants

../../_images/fig_fc28210.png

(a) Force constants w.r.t atomic distance

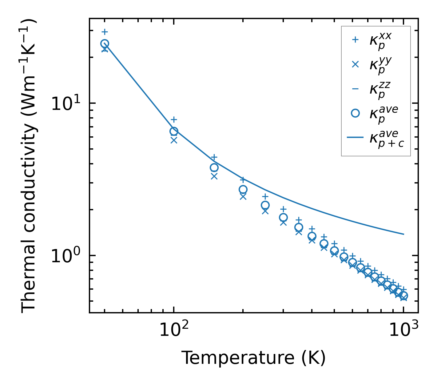
Summary

../../_images/fig_kappa6510.png

(a) Temperature-dependent lattice thermal conductivity

../../_images/fig_times14818.png

(b) Computation time