mp-557104/LiAlB2O5/anharm

Harmonic properties

../../_images/fig_bandos_pr8366.png

(a) Phonon dispersion with participation ratio and DOS

../../_images/fig_thermo8366.png

(b) Thermodynamic properties

Grüneisen parameters

../../_images/fig_gru_all3411.png

(a) Grüneisen parameters

../../_images/fig_gruneisen3411.png

(b) Phonon dispersion with Grüneisen parameters

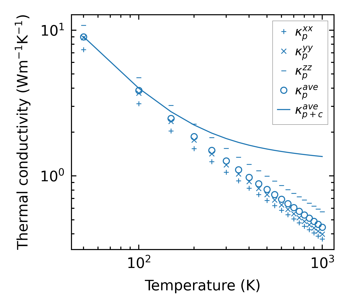
Thermal conductivity

3-phonon (LASSO) — q-mesh: 10x10x8, supercell: 1x1x2

../../_images/fig_kappa6451.png

(a) Temperature-dependent lattice thermal conductivity

../../_images/fig_kappa_vs_grain_size3454.png

(b) Peierls lattice thermal conductivity w.r.t grain size

Phonon lifetime and scattering rates

../../_images/fig_lifetime3379.png

(a) Phonon lifetime due to phonon-phonon scattering

../../_images/fig_scat_rates3378.png

(b) Phonon scattering rates

Cumulative and spectral thermal conductivity

../../_images/fig_cumu_frequency3379.png

(a) Spectral and cumulative thermal conductivity w.r.t frequency

../../_images/fig_cumu_mfp3378.png

(b) Spectral and cumulative thermal conductivity w.r.t MFP

Force constants

../../_images/fig_fc28128.png

(a) Force constants w.r.t atomic distance

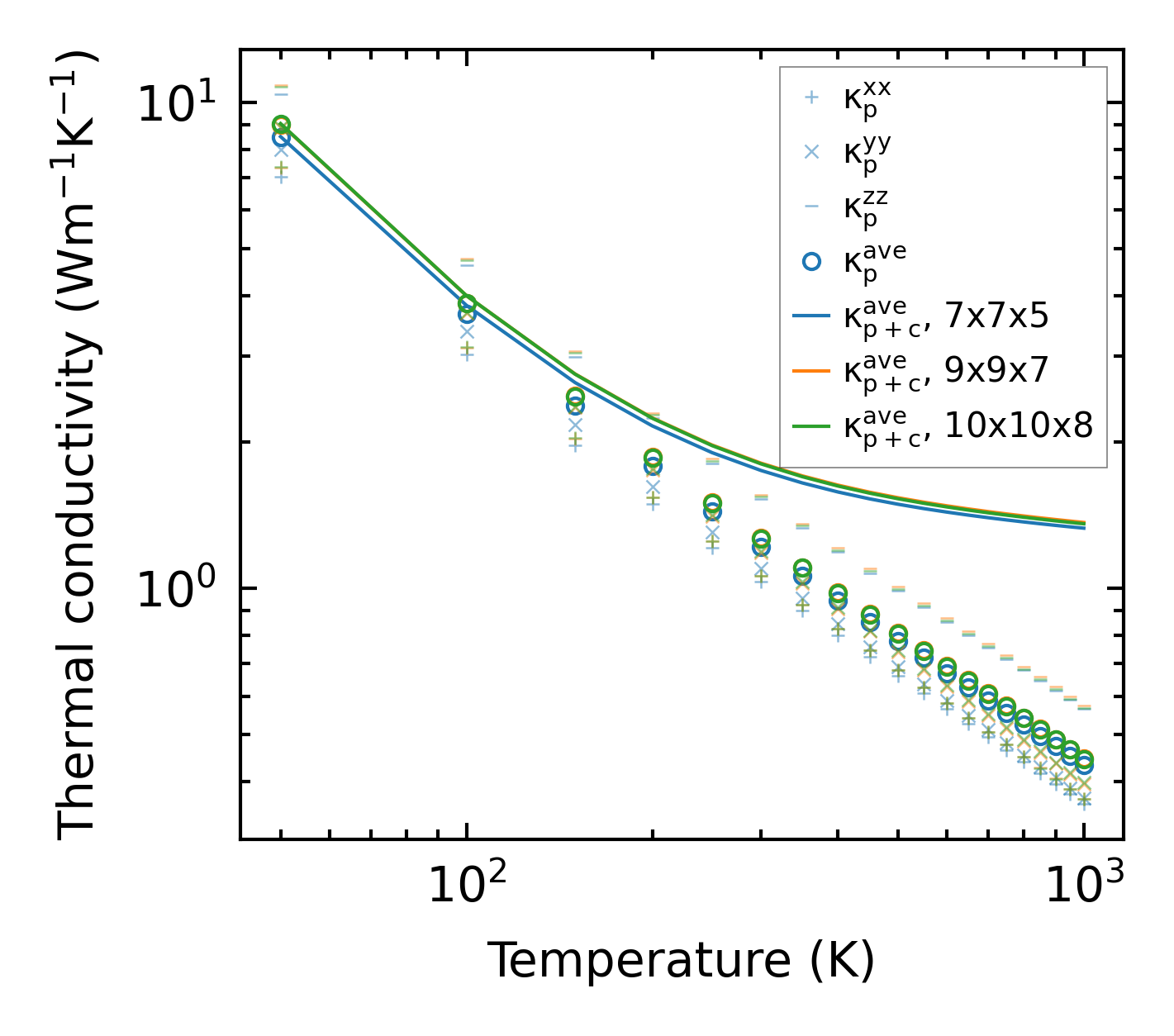
Summary

../../_images/fig_kappa6452.png

(a) Temperature-dependent lattice thermal conductivity

../../_images/fig_times14696.png

(b) Computation time