mp-557698/K4Na2TeO6/anharm

Harmonic properties

../../_images/fig_bandos_pr8162.png

(a) Phonon dispersion with participation ratio and DOS

../../_images/fig_thermo8162.png

(b) Thermodynamic properties

Grüneisen parameters

../../_images/fig_gru_all3354.png

(a) Grüneisen parameters

../../_images/fig_gruneisen3354.png

(b) Phonon dispersion with Grüneisen parameters

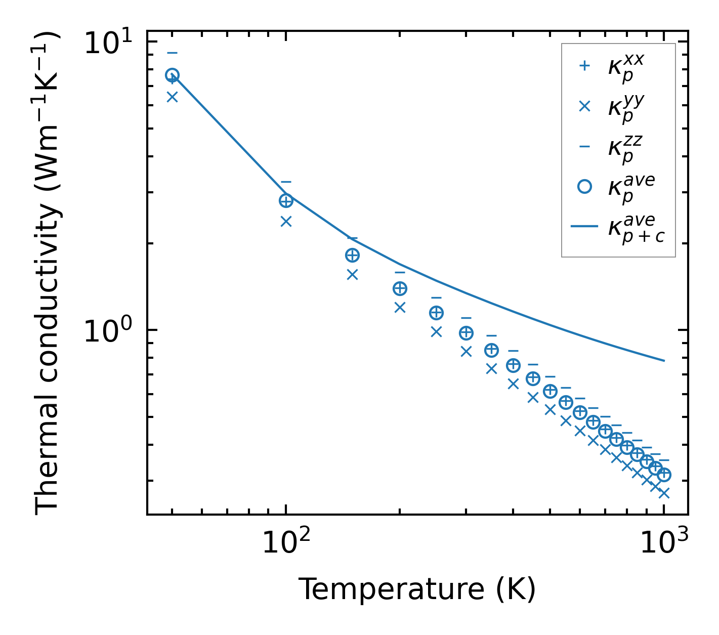
Thermal conductivity

3-phonon (LASSO) — q-mesh: 11x7x10, supercell: 2x1x2

../../_images/fig_kappa6347.png

(a) Temperature-dependent lattice thermal conductivity

../../_images/fig_kappa_vs_grain_size3397.png

(b) Peierls lattice thermal conductivity w.r.t grain size

Phonon lifetime and scattering rates

../../_images/fig_lifetime3324.png

(a) Phonon lifetime due to phonon-phonon scattering

../../_images/fig_scat_rates3323.png

(b) Phonon scattering rates

Cumulative and spectral thermal conductivity

../../_images/fig_cumu_frequency3324.png

(a) Spectral and cumulative thermal conductivity w.r.t frequency

../../_images/fig_cumu_mfp3323.png

(b) Spectral and cumulative thermal conductivity w.r.t MFP

Force constants

../../_images/fig_fc27924.png

(a) Force constants w.r.t atomic distance

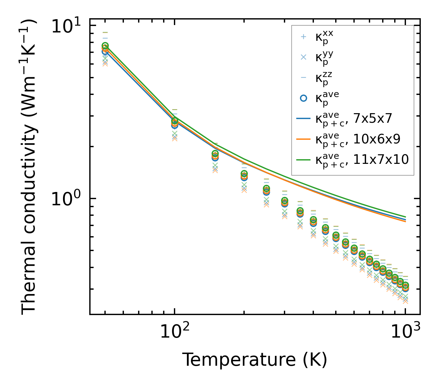
Summary

../../_images/fig_kappa6348.png

(a) Temperature-dependent lattice thermal conductivity

../../_images/fig_times14368.png

(b) Computation time