mp-557391/Na2Ca2C3O9/harm

Harmonic properties

../../_images/fig_bandos_pr8430.png

(a) Phonon dispersion with participation ratio and DOS

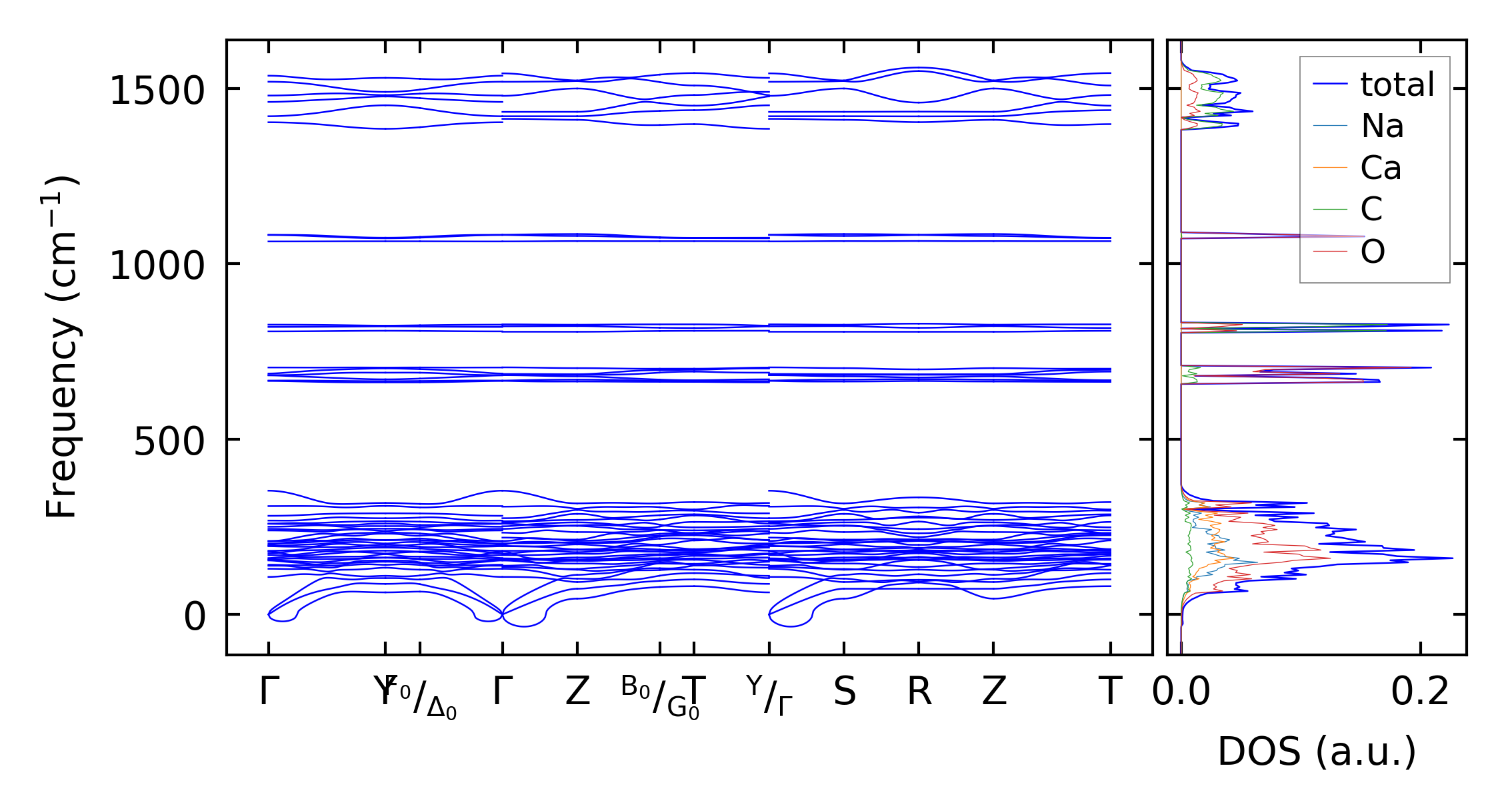
../../_images/fig_bandos11840.png

(b) Phonon dispersion and DOS

../../_images/fig_thermo8430.png

(c) Thermodynamic properties

Force constants

../../_images/fig_fc28192.png

(a) Force constants w.r.t atomic distance

Summary

../../_images/fig_times14792.png

(a) Computation time