mp-557414/BaSi6N8O/anharm

Harmonic properties

../../_images/fig_bandos_pr8434.png

(a) Phonon dispersion with participation ratio and DOS

../../_images/fig_bandos11844.png

(b) Phonon dispersion and DOS

../../_images/fig_thermo8434.png

(c) Thermodynamic properties

Grüneisen parameters

../../_images/fig_gru_all3436.png

(a) Grüneisen parameters

../../_images/fig_gruneisen3436.png

(b) Phonon dispersion with Grüneisen parameters

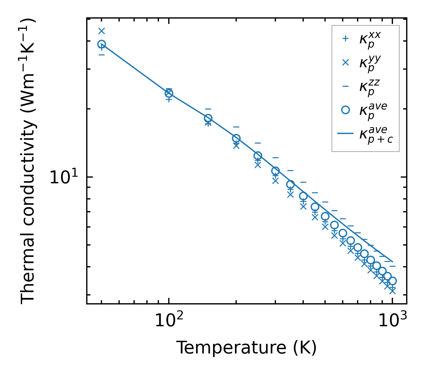
Thermal conductivity

3-phonon (LASSO) — q-mesh: 12x12x12, supercell: 2x1x2

../../_images/fig_kappa6499.png

(a) Temperature-dependent lattice thermal conductivity

../../_images/fig_kappa_vs_grain_size3479.png

(b) Peierls lattice thermal conductivity w.r.t grain size

Phonon lifetime and scattering rates

../../_images/fig_lifetime3404.png

(a) Phonon lifetime due to phonon-phonon scattering

../../_images/fig_scat_rates3403.png

(b) Phonon scattering rates

Cumulative and spectral thermal conductivity

../../_images/fig_cumu_frequency3404.png

(a) Spectral and cumulative thermal conductivity w.r.t frequency

../../_images/fig_cumu_mfp3403.png

(b) Spectral and cumulative thermal conductivity w.r.t MFP

Force constants

../../_images/fig_fc28196.png

(a) Force constants w.r.t atomic distance

Summary

../../_images/fig_kappa6500.png

(a) Temperature-dependent lattice thermal conductivity

../../_images/fig_times14798.png

(b) Computation time