mp-557232/KSmPdO3/anharm

Harmonic properties

../../_images/fig_bandos_pr8393.png

(a) Phonon dispersion with participation ratio and DOS

../../_images/fig_thermo8393.png

(b) Thermodynamic properties

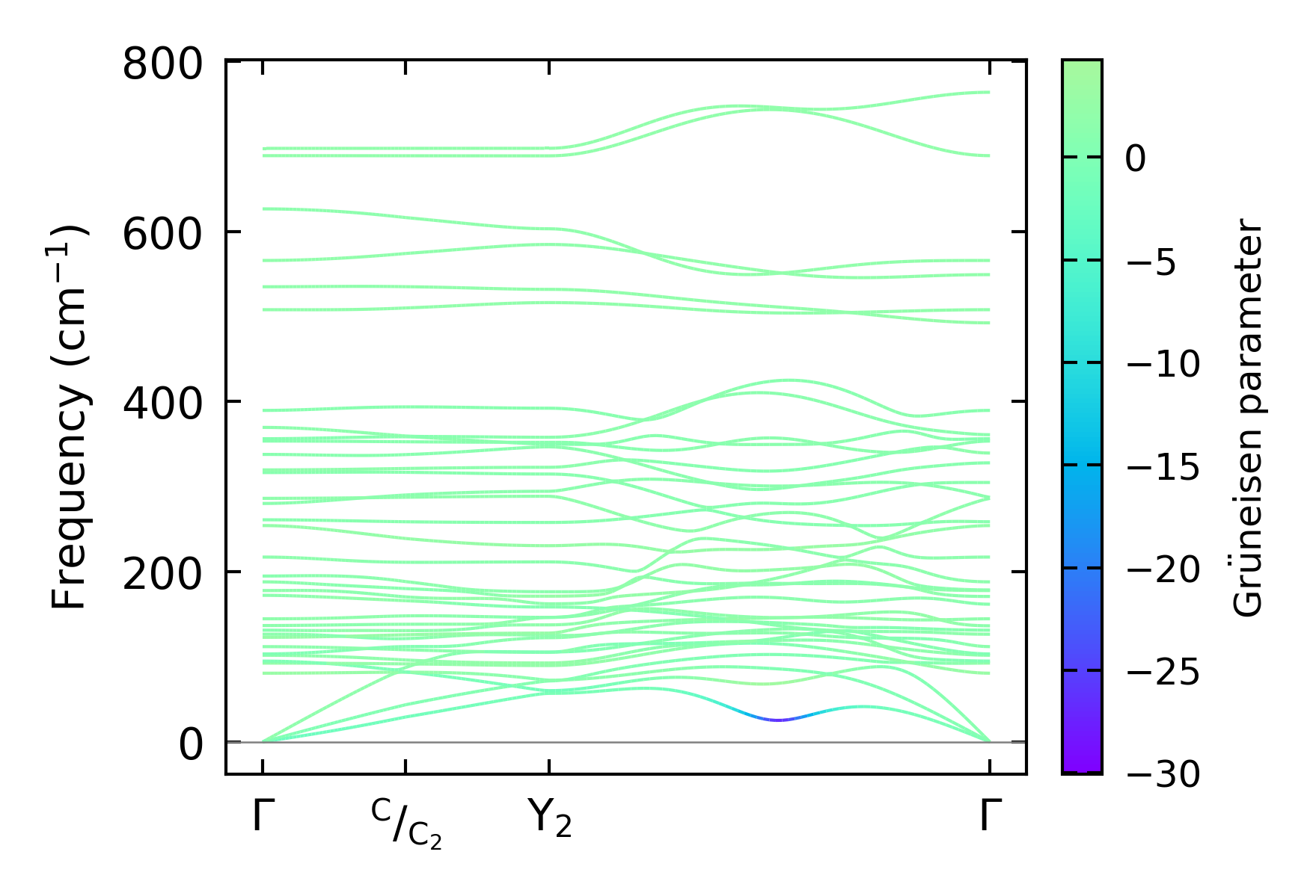
Grüneisen parameters

../../_images/fig_gru_all3422.png

(a) Grüneisen parameters

../../_images/fig_gruneisen3422.png

(b) Phonon dispersion with Grüneisen parameters

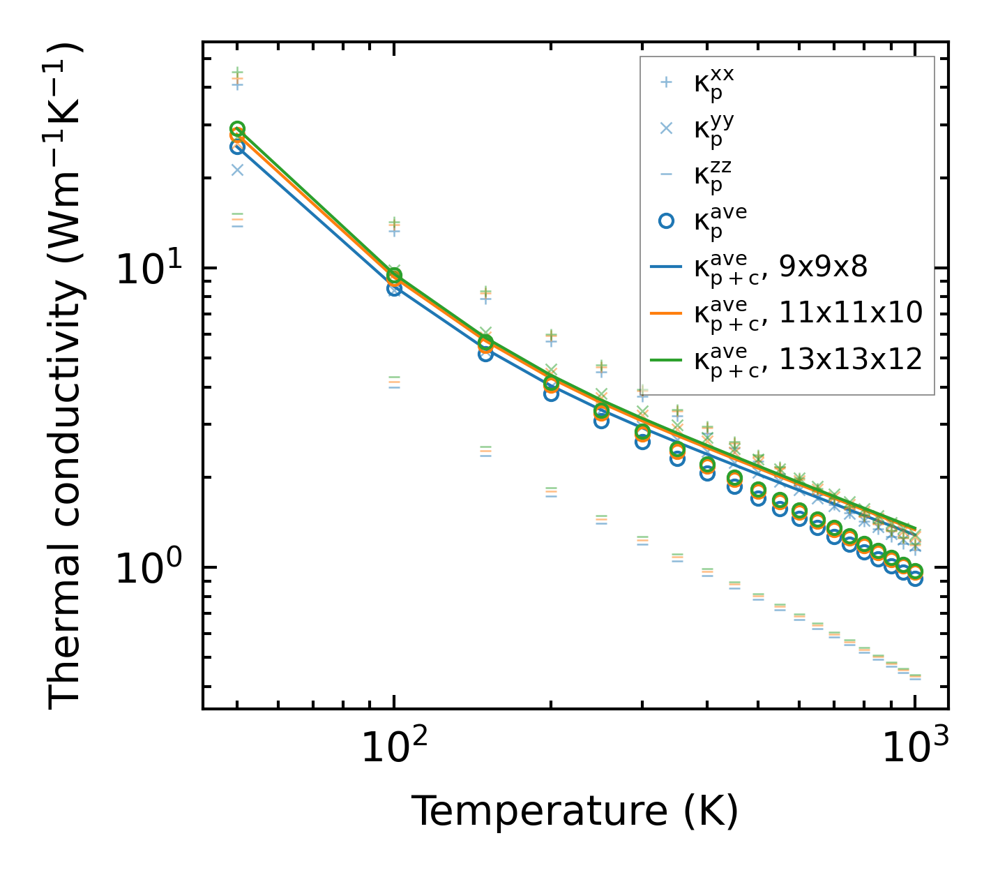
Thermal conductivity

3-phonon (LASSO) — q-mesh: 13x13x12, supercell: 1x3x2

../../_images/fig_kappa6472.png

(a) Temperature-dependent lattice thermal conductivity

../../_images/fig_kappa_vs_grain_size3465.png

(b) Peierls lattice thermal conductivity w.r.t grain size

Phonon lifetime and scattering rates

../../_images/fig_lifetime3390.png

(a) Phonon lifetime due to phonon-phonon scattering

../../_images/fig_scat_rates3389.png

(b) Phonon scattering rates

Cumulative and spectral thermal conductivity

../../_images/fig_cumu_frequency3390.png

(a) Spectral and cumulative thermal conductivity w.r.t frequency

../../_images/fig_cumu_mfp3389.png

(b) Spectral and cumulative thermal conductivity w.r.t MFP

Force constants

../../_images/fig_fc28155.png

(a) Force constants w.r.t atomic distance

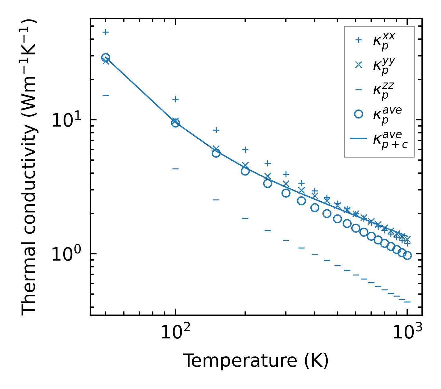
Summary

../../_images/fig_kappa6473.png

(a) Temperature-dependent lattice thermal conductivity

../../_images/fig_times14740.png

(b) Computation time