mp-557632/K2LiBO3/harm

Harmonic properties

../../_images/fig_bandos_pr8143.png

(a) Phonon dispersion with participation ratio and DOS

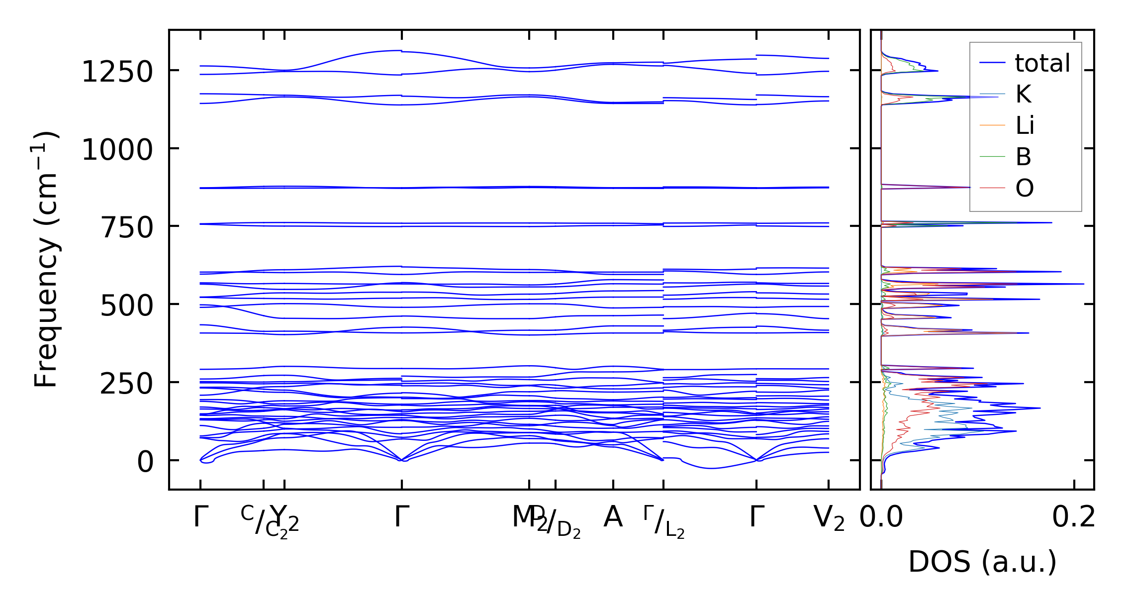
../../_images/fig_bandos11450.png

(b) Phonon dispersion and DOS

../../_images/fig_thermo8143.png

(c) Thermodynamic properties

Force constants

../../_images/fig_fc27905.png

(a) Force constants w.r.t atomic distance

Summary

../../_images/fig_times14338.png

(a) Computation time