mp-557510/Cu3TeS3Cl/harm

Harmonic properties

../../_images/fig_bandos_pr8117.png

(a) Phonon dispersion with participation ratio and DOS

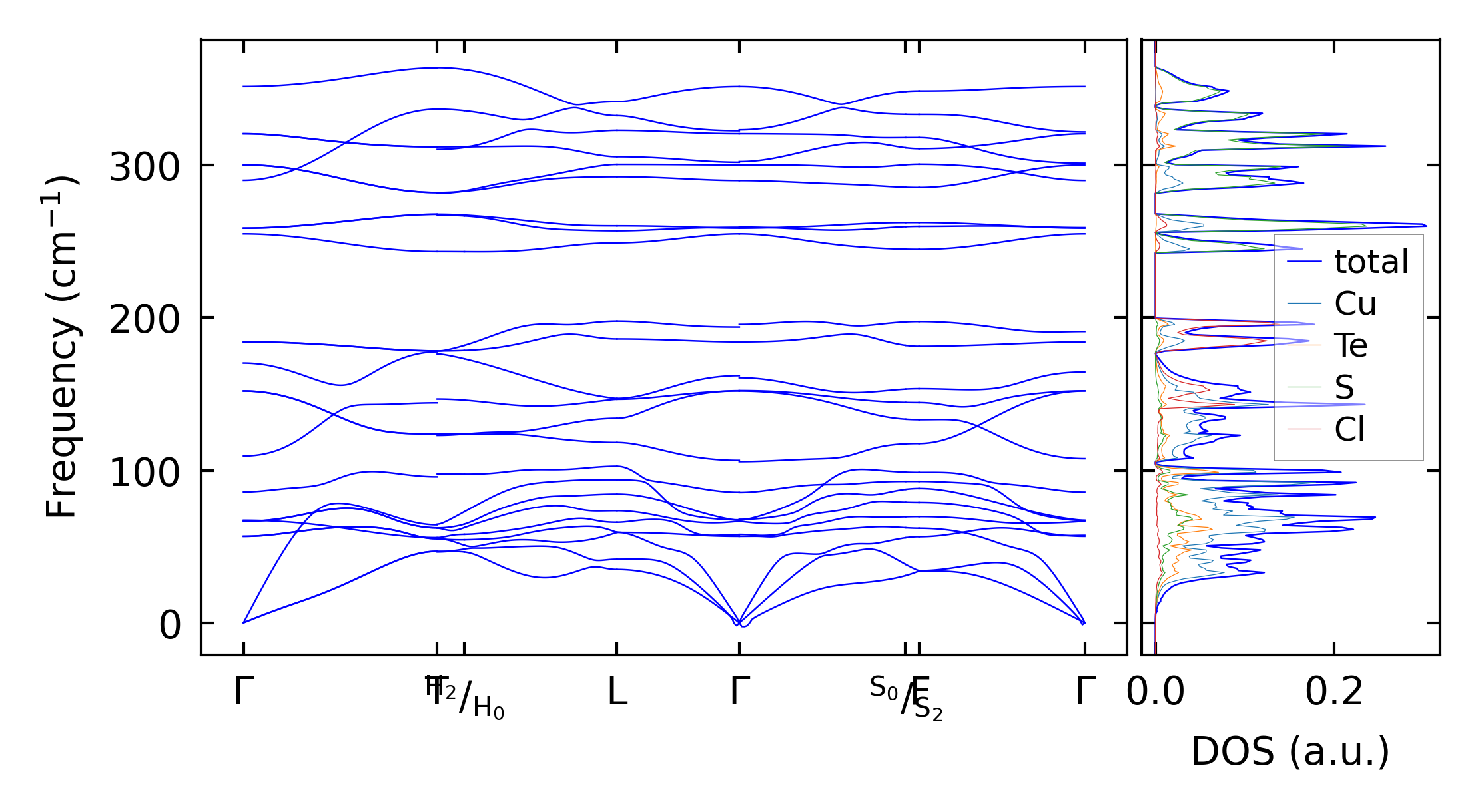
../../_images/fig_bandos11416.png

(b) Phonon dispersion and DOS

../../_images/fig_thermo8117.png

(c) Thermodynamic properties

Force constants

../../_images/fig_fc27879.png

(a) Force constants w.r.t atomic distance

Summary

../../_images/fig_times14300.png

(a) Computation time