mp-557673/RbBe2P3O10/anharm

Harmonic properties

../../_images/fig_bandos_pr8158.png

(a) Phonon dispersion with participation ratio and DOS

../../_images/fig_bandos11469.png

(b) Phonon dispersion and DOS

../../_images/fig_thermo8158.png

(c) Thermodynamic properties

Grüneisen parameters

../../_images/fig_gru_all3353.png

(a) Grüneisen parameters

../../_images/fig_gruneisen3353.png

(b) Phonon dispersion with Grüneisen parameters

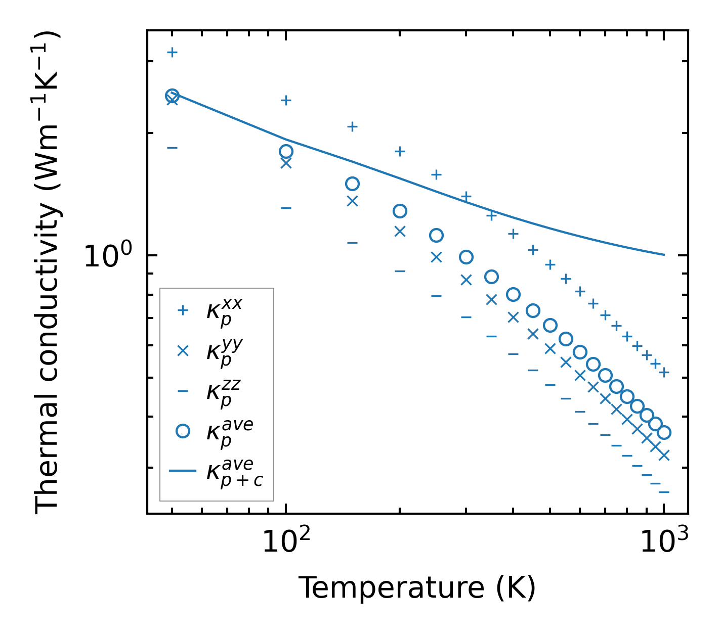
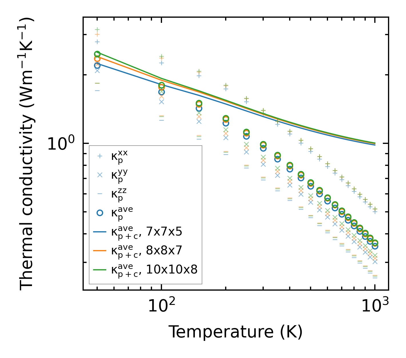
Thermal conductivity

3-phonon (LASSO) — q-mesh: 10x10x8, supercell: 1x2x1

../../_images/fig_kappa6345.png

(a) Temperature-dependent lattice thermal conductivity

../../_images/fig_kappa_vs_grain_size3396.png

(b) Peierls lattice thermal conductivity w.r.t grain size

Phonon lifetime and scattering rates

../../_images/fig_lifetime3323.png

(a) Phonon lifetime due to phonon-phonon scattering

../../_images/fig_scat_rates3322.png

(b) Phonon scattering rates

Cumulative and spectral thermal conductivity

../../_images/fig_cumu_frequency3323.png

(a) Spectral and cumulative thermal conductivity w.r.t frequency

../../_images/fig_cumu_mfp3322.png

(b) Spectral and cumulative thermal conductivity w.r.t MFP

Force constants

../../_images/fig_fc27920.png

(a) Force constants w.r.t atomic distance

Summary

../../_images/fig_kappa6346.png

(a) Temperature-dependent lattice thermal conductivity

../../_images/fig_times14358.png

(b) Computation time