mp-557200/K4Nb11Al2O20F/anharm

Harmonic properties

../../_images/fig_bandos_pr8388.png

(a) Phonon dispersion with participation ratio and DOS

../../_images/fig_thermo8388.png

(b) Thermodynamic properties

Grüneisen parameters

../../_images/fig_gru_all3420.png

(a) Grüneisen parameters

../../_images/fig_gruneisen3420.png

(b) Phonon dispersion with Grüneisen parameters

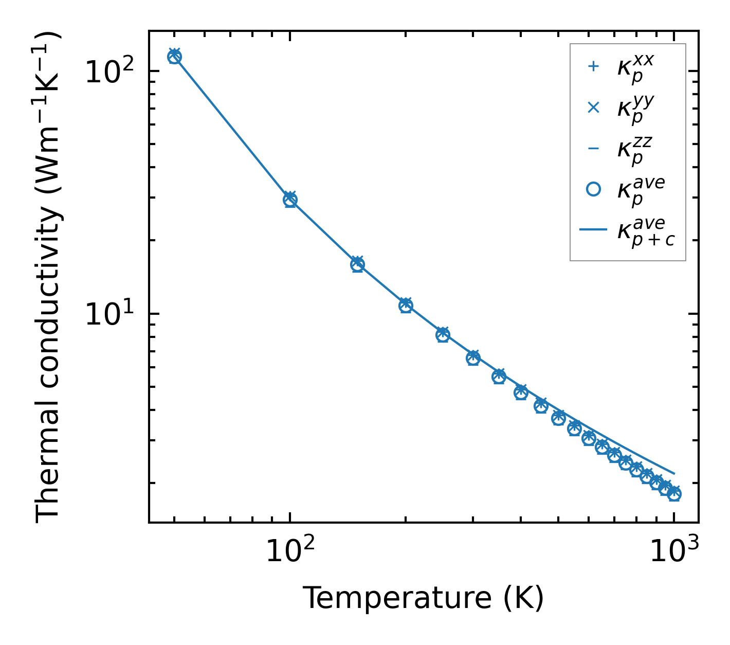
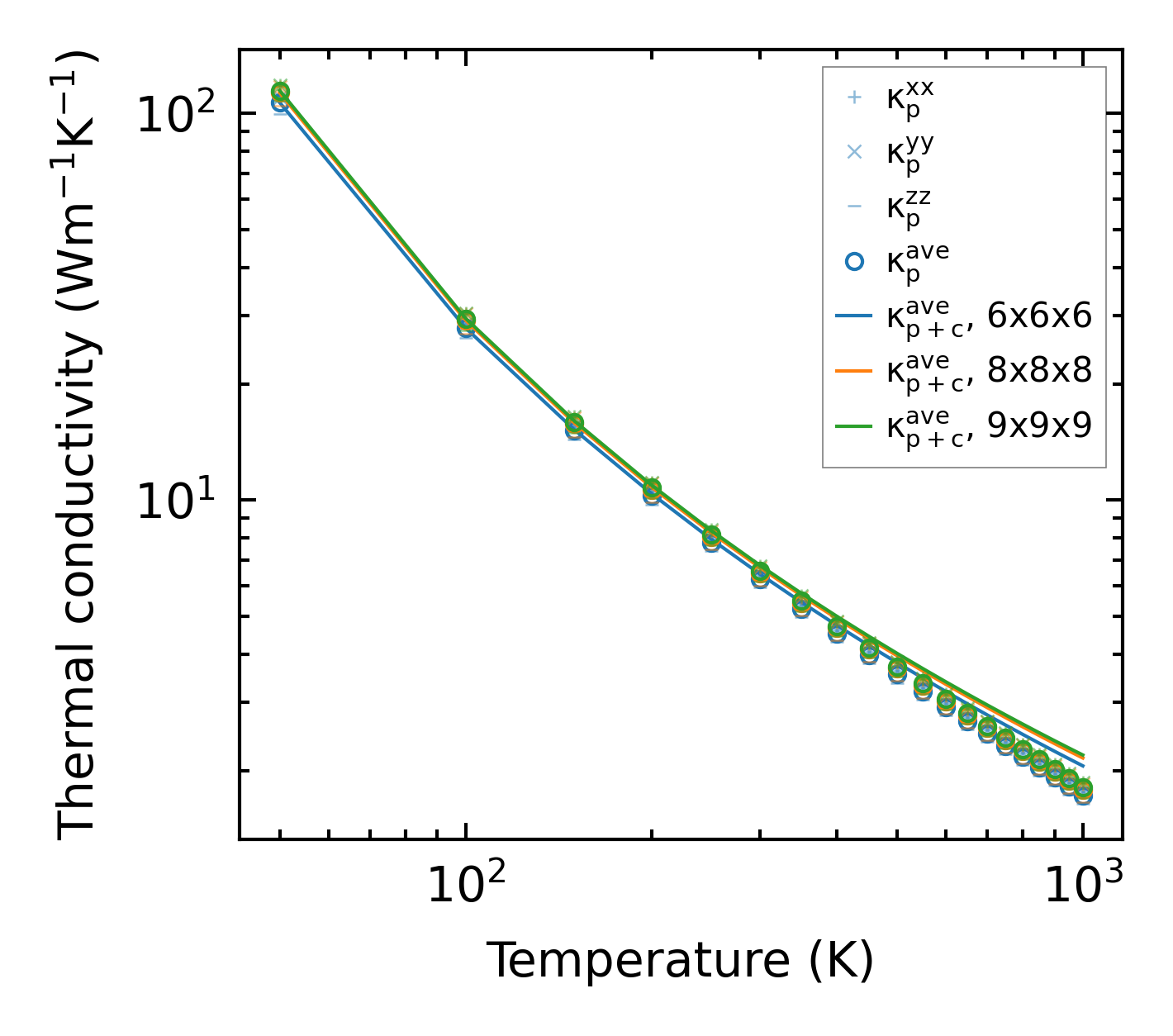
Thermal conductivity

3-phonon (LASSO) — q-mesh: 9x9x9, supercell: 1x1x1

../../_images/fig_kappa6468.png

(a) Temperature-dependent lattice thermal conductivity

../../_images/fig_kappa_vs_grain_size3463.png

(b) Peierls lattice thermal conductivity w.r.t grain size

Phonon lifetime and scattering rates

../../_images/fig_lifetime3388.png

(a) Phonon lifetime due to phonon-phonon scattering

../../_images/fig_scat_rates3387.png

(b) Phonon scattering rates

Cumulative and spectral thermal conductivity

../../_images/fig_cumu_frequency3388.png

(a) Spectral and cumulative thermal conductivity w.r.t frequency

../../_images/fig_cumu_mfp3387.png

(b) Spectral and cumulative thermal conductivity w.r.t MFP

Force constants

../../_images/fig_fc28150.png

(a) Force constants w.r.t atomic distance

Summary

../../_images/fig_kappa6469.png

(a) Temperature-dependent lattice thermal conductivity

../../_images/fig_times14730.png

(b) Computation time