mp-557112/Li4Ga3Si3IO12/anharm

Harmonic properties

../../_images/fig_bandos_pr8371.png

(a) Phonon dispersion with participation ratio and DOS

../../_images/fig_thermo8371.png

(b) Thermodynamic properties

Grüneisen parameters

../../_images/fig_gru_all3414.png

(a) Grüneisen parameters

../../_images/fig_gruneisen3414.png

(b) Phonon dispersion with Grüneisen parameters

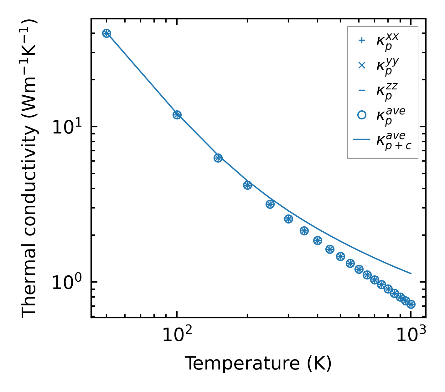
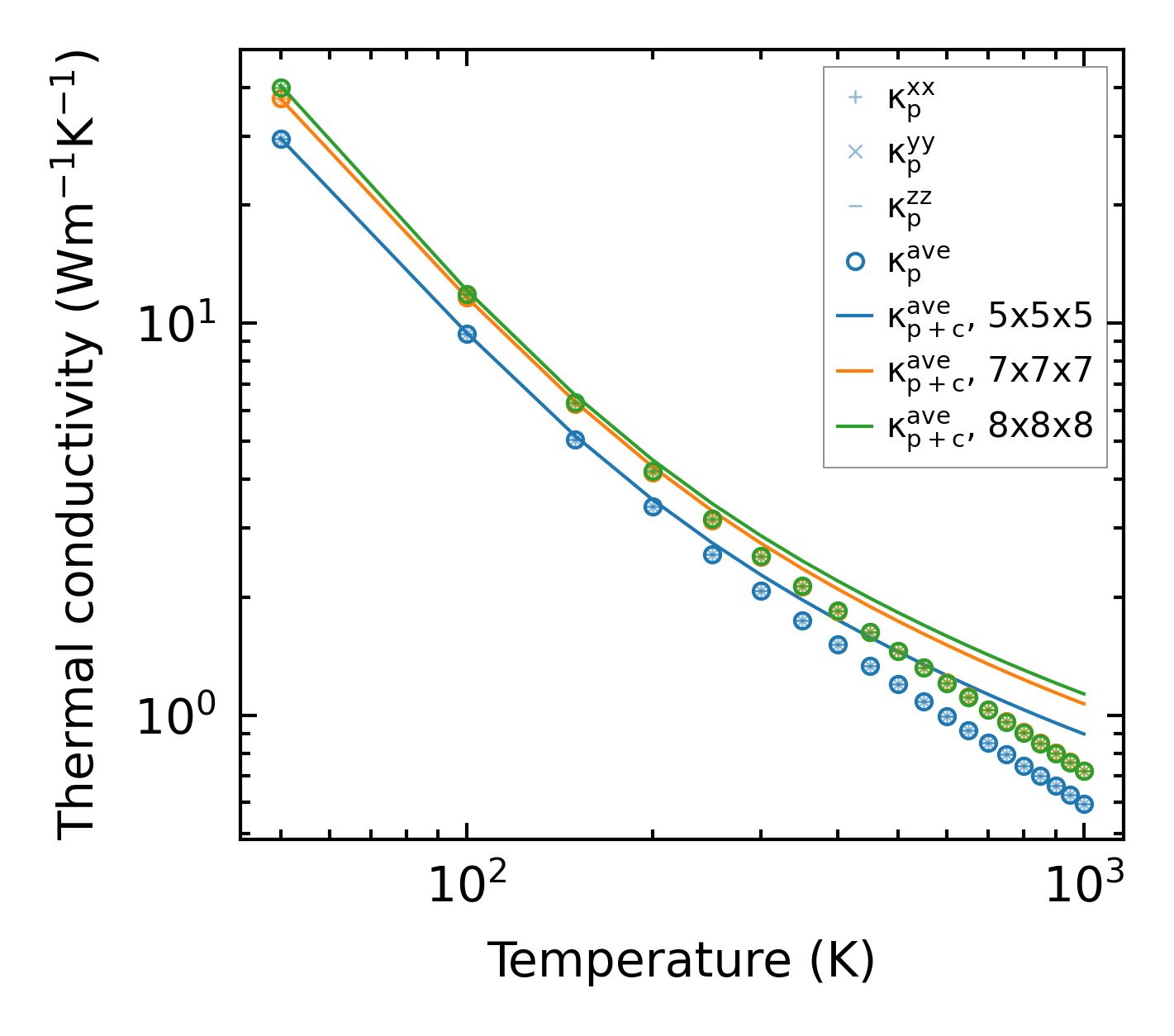
Thermal conductivity

3-phonon (LASSO) — q-mesh: 8x8x8, supercell: 1x1x1

../../_images/fig_kappa6457.png

(a) Temperature-dependent lattice thermal conductivity

../../_images/fig_kappa_vs_grain_size3457.png

(b) Peierls lattice thermal conductivity w.r.t grain size

Phonon lifetime and scattering rates

../../_images/fig_lifetime3382.png

(a) Phonon lifetime due to phonon-phonon scattering

../../_images/fig_scat_rates3381.png

(b) Phonon scattering rates

Cumulative and spectral thermal conductivity

../../_images/fig_cumu_frequency3382.png

(a) Spectral and cumulative thermal conductivity w.r.t frequency

../../_images/fig_cumu_mfp3381.png

(b) Spectral and cumulative thermal conductivity w.r.t MFP

Force constants

../../_images/fig_fc28133.png

(a) Force constants w.r.t atomic distance

Summary

../../_images/fig_kappa6458.png

(a) Temperature-dependent lattice thermal conductivity

../../_images/fig_times14701.png

(b) Computation time