mp-557753/K3PO4/anharm

Harmonic properties

../../_images/fig_bandos_pr8174.png

(a) Phonon dispersion with participation ratio and DOS

../../_images/fig_thermo8174.png

(b) Thermodynamic properties

Grüneisen parameters

../../_images/fig_gru_all3356.png

(a) Grüneisen parameters

../../_images/fig_gruneisen3356.png

(b) Phonon dispersion with Grüneisen parameters

Thermal conductivity

3-phonon (LASSO) — q-mesh: 6x8x12, supercell: 1x2x2

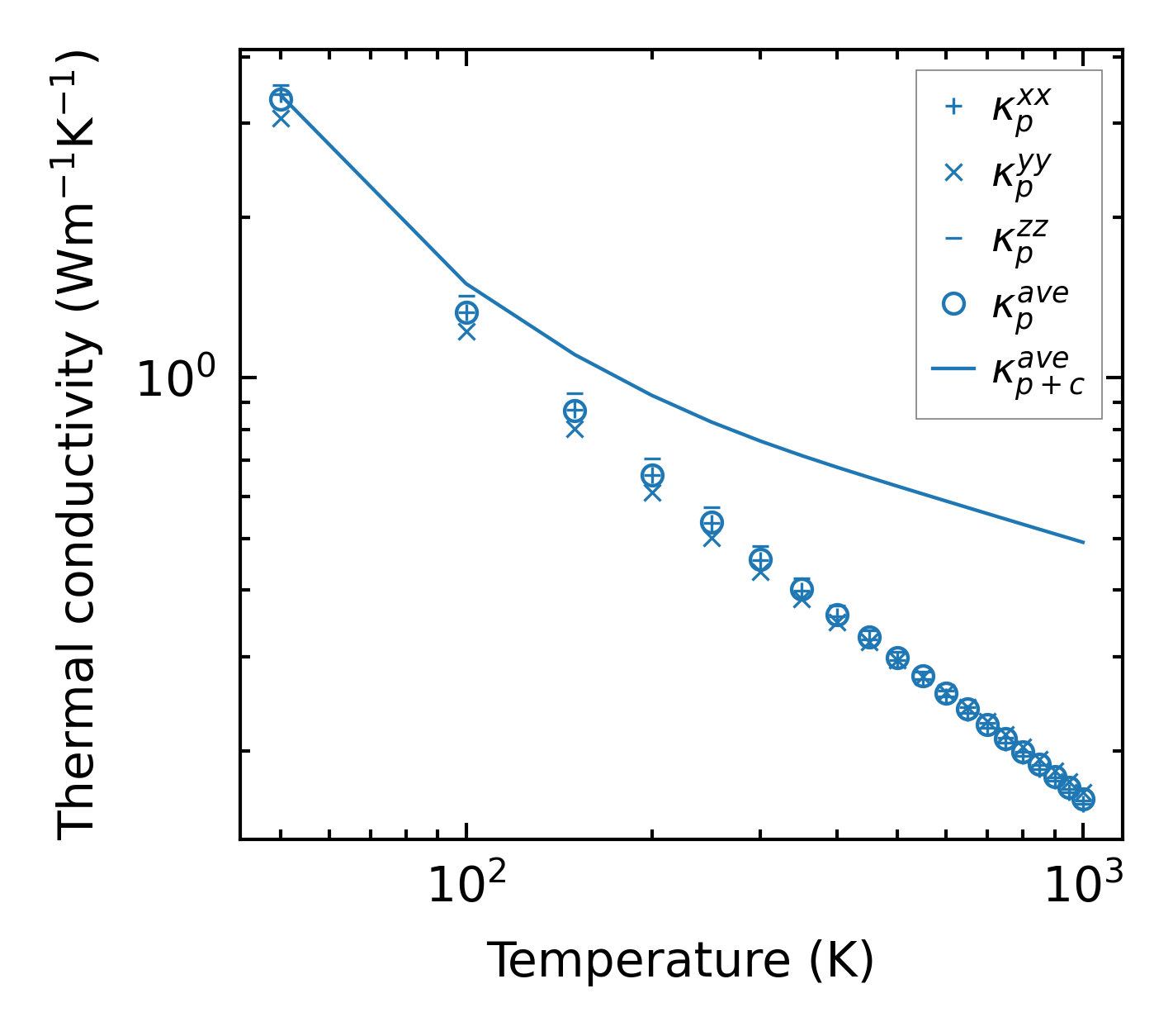
../../_images/fig_kappa6351.png

(a) Temperature-dependent lattice thermal conductivity

../../_images/fig_kappa_vs_grain_size3399.png

(b) Peierls lattice thermal conductivity w.r.t grain size

Phonon lifetime and scattering rates

../../_images/fig_lifetime3326.png

(a) Phonon lifetime due to phonon-phonon scattering

../../_images/fig_scat_rates3325.png

(b) Phonon scattering rates

Cumulative and spectral thermal conductivity

../../_images/fig_cumu_frequency3326.png

(a) Spectral and cumulative thermal conductivity w.r.t frequency

../../_images/fig_cumu_mfp3325.png

(b) Spectral and cumulative thermal conductivity w.r.t MFP

Force constants

../../_images/fig_fc27936.png

(a) Force constants w.r.t atomic distance

Summary

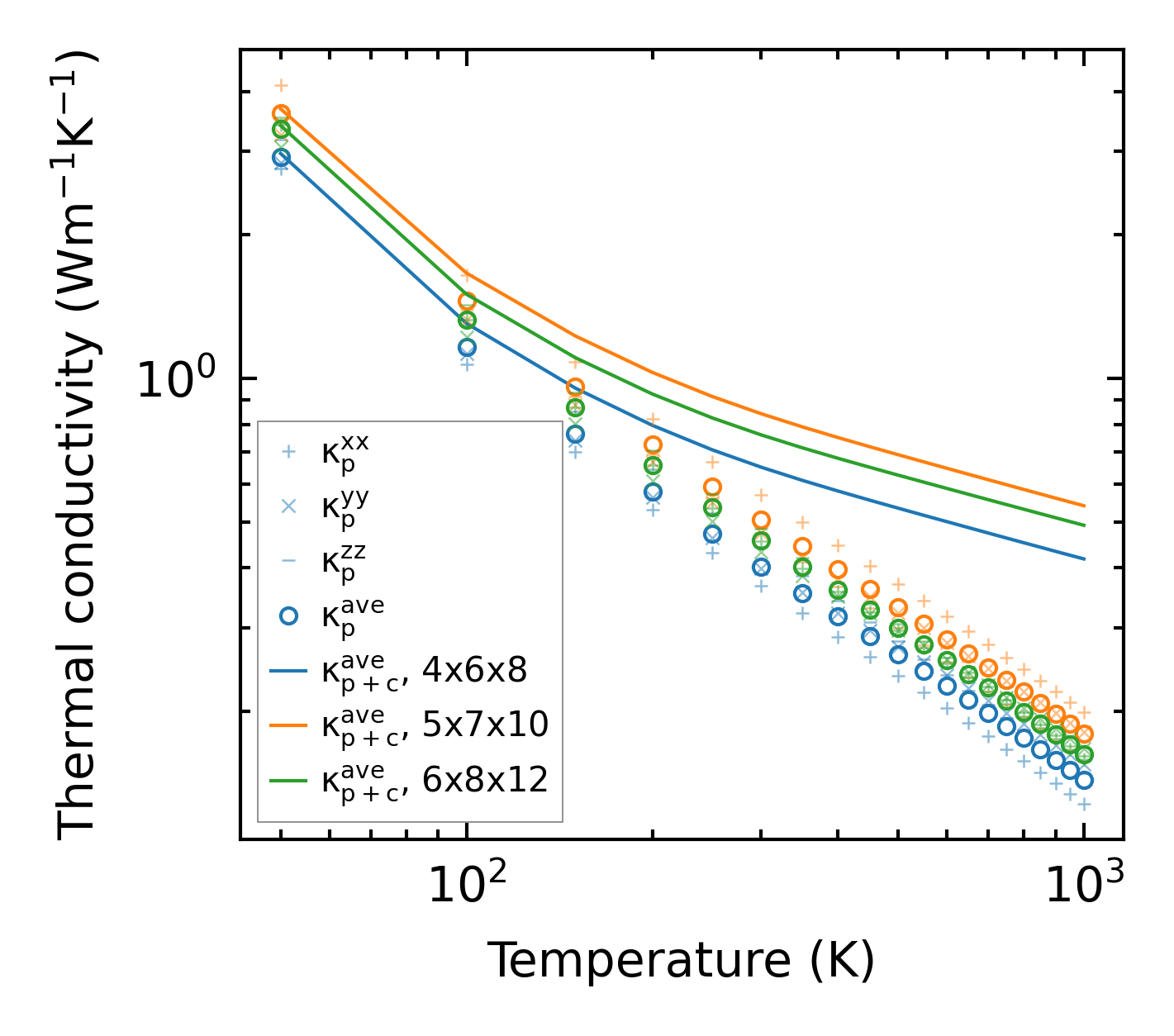
../../_images/fig_kappa6352.png

(a) Temperature-dependent lattice thermal conductivity

../../_images/fig_times14390.png

(b) Computation time