mp-557463/Na3ScSi2O7/anharm

Harmonic properties

../../_images/fig_bandos_pr8447.png

(a) Phonon dispersion with participation ratio and DOS

../../_images/fig_thermo8447.png

(b) Thermodynamic properties

Grüneisen parameters

../../_images/fig_gru_all3440.png

(a) Grüneisen parameters

../../_images/fig_gruneisen3440.png

(b) Phonon dispersion with Grüneisen parameters

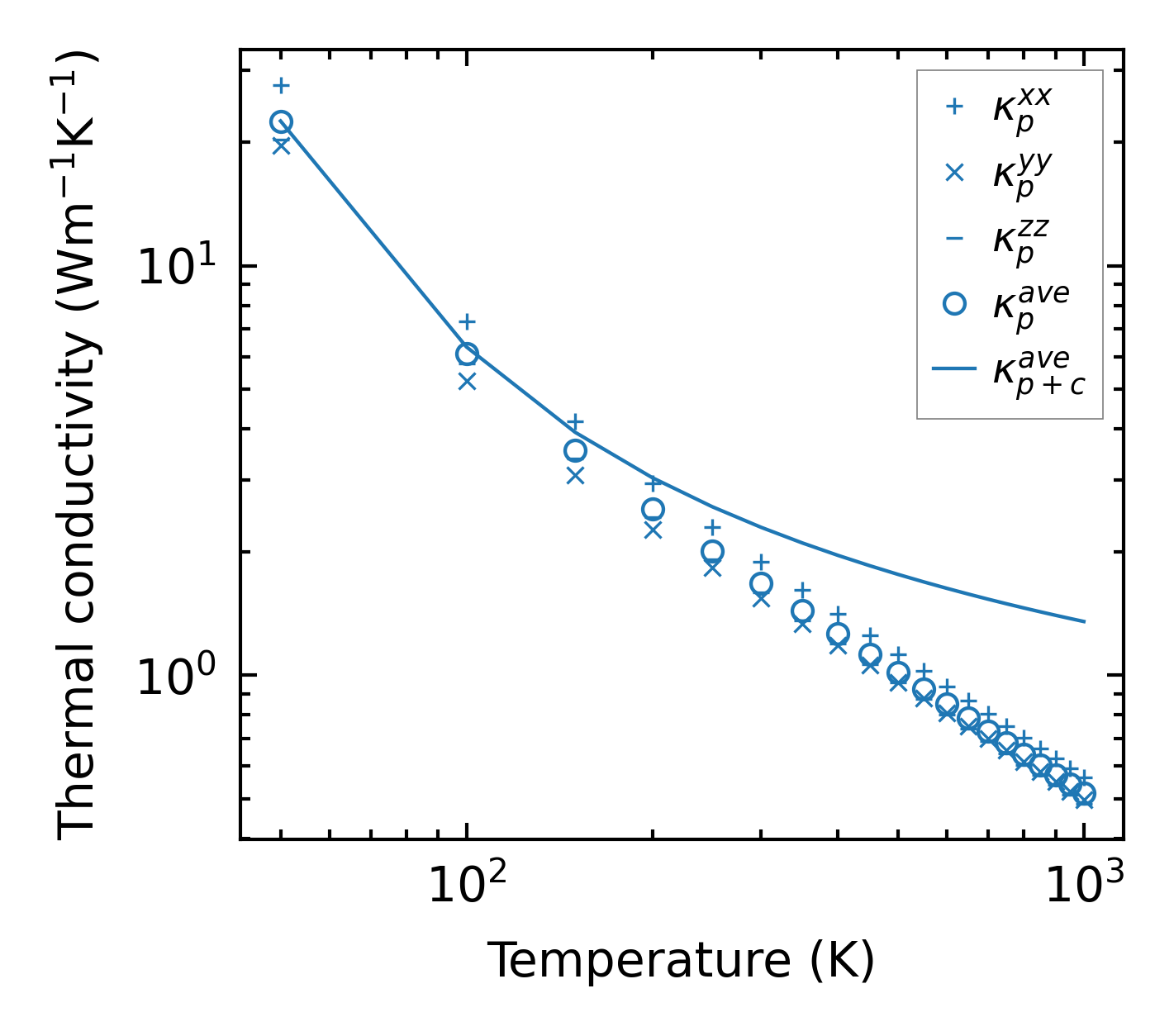
Thermal conductivity

3-phonon (LASSO) — q-mesh: 7x5x13, supercell: 1x1x2

../../_images/fig_kappa6507.png

(a) Temperature-dependent lattice thermal conductivity

../../_images/fig_kappa_vs_grain_size3483.png

(b) Peierls lattice thermal conductivity w.r.t grain size

Phonon lifetime and scattering rates

../../_images/fig_lifetime3408.png

(a) Phonon lifetime due to phonon-phonon scattering

../../_images/fig_scat_rates3407.png

(b) Phonon scattering rates

Cumulative and spectral thermal conductivity

../../_images/fig_cumu_frequency3408.png

(a) Spectral and cumulative thermal conductivity w.r.t frequency

../../_images/fig_cumu_mfp3407.png

(b) Spectral and cumulative thermal conductivity w.r.t MFP

Force constants

../../_images/fig_fc28209.png

(a) Force constants w.r.t atomic distance

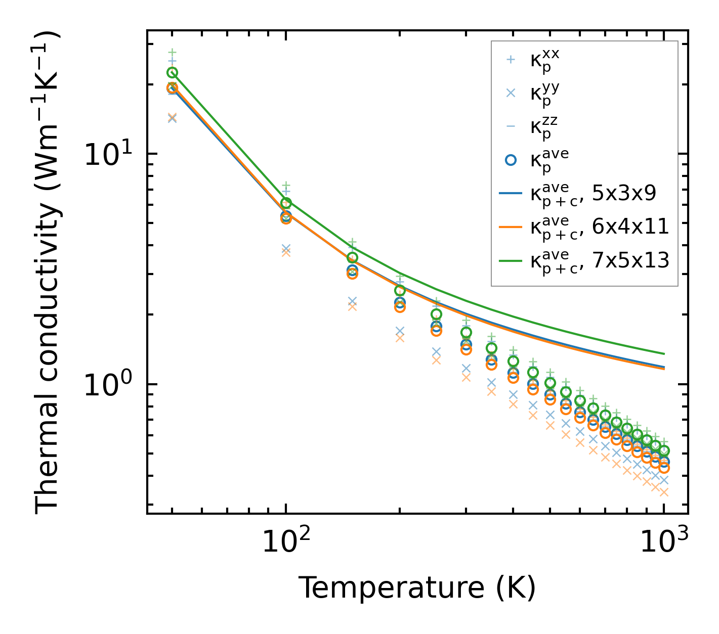
Summary

../../_images/fig_kappa6508.png

(a) Temperature-dependent lattice thermal conductivity

../../_images/fig_times14817.png

(b) Computation time