mp-557845/Na2TiS2O/anharm

Harmonic properties

../../_images/fig_bandos_pr8202.png

(a) Phonon dispersion with participation ratio and DOS

../../_images/fig_thermo8202.png

(b) Thermodynamic properties

Grüneisen parameters

../../_images/fig_gru_all3363.png

(a) Grüneisen parameters

../../_images/fig_gruneisen3363.png

(b) Phonon dispersion with Grüneisen parameters

Thermal conductivity

3-phonon (LASSO) — q-mesh: 10x5x12, supercell: 2x1x3

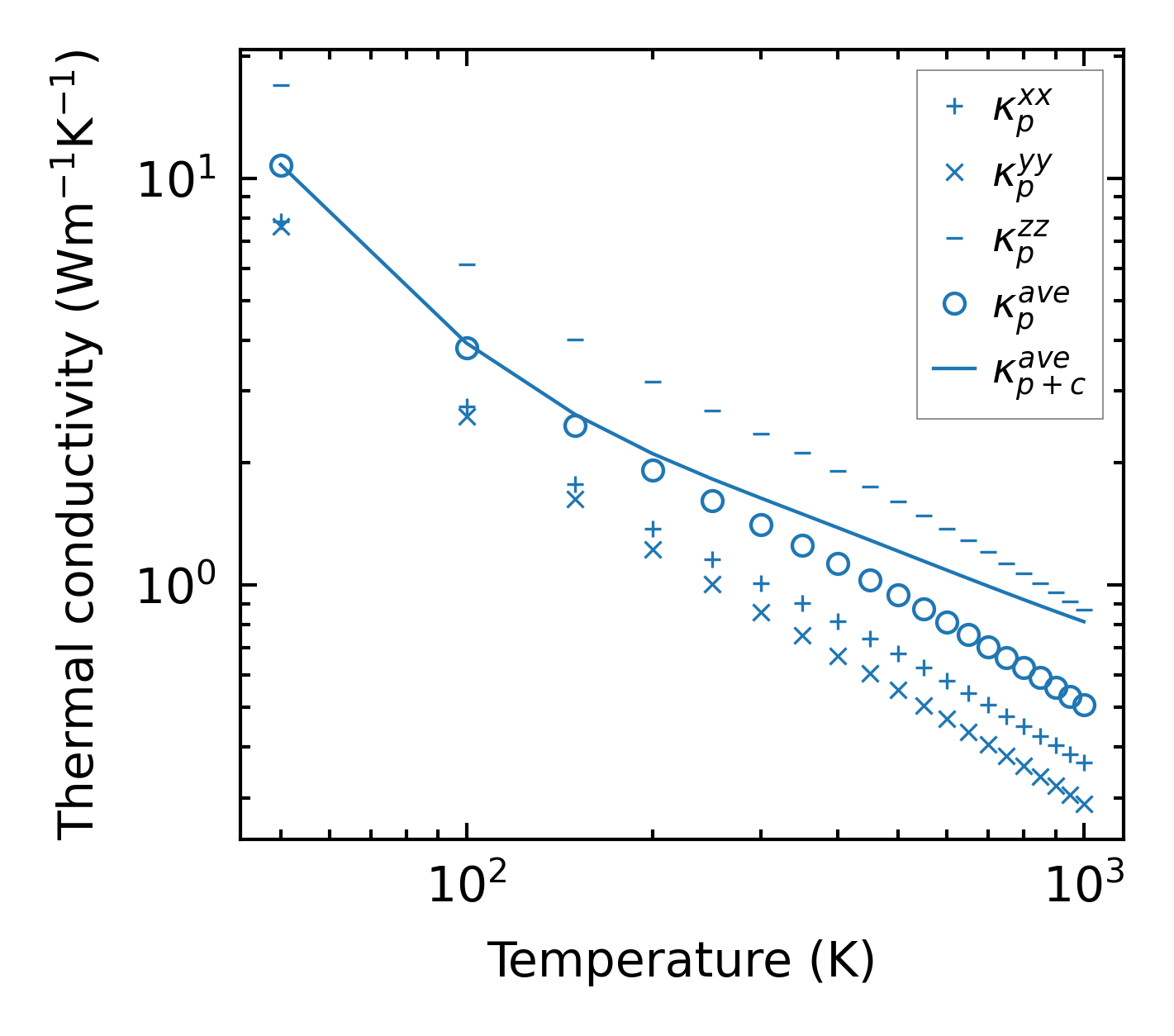
../../_images/fig_kappa6366.png

(a) Temperature-dependent lattice thermal conductivity

../../_images/fig_kappa_vs_grain_size3407.png

(b) Peierls lattice thermal conductivity w.r.t grain size

Phonon lifetime and scattering rates

../../_images/fig_lifetime3333.png

(a) Phonon lifetime due to phonon-phonon scattering

../../_images/fig_scat_rates3332.png

(b) Phonon scattering rates

Cumulative and spectral thermal conductivity

../../_images/fig_cumu_frequency3333.png

(a) Spectral and cumulative thermal conductivity w.r.t frequency

../../_images/fig_cumu_mfp3332.png

(b) Spectral and cumulative thermal conductivity w.r.t MFP

Force constants

../../_images/fig_fc27964.png

(a) Force constants w.r.t atomic distance

Summary

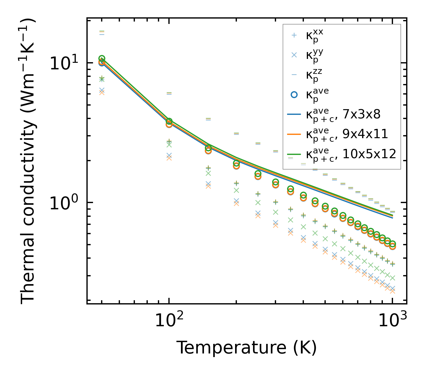
../../_images/fig_kappa6367.png

(a) Temperature-dependent lattice thermal conductivity

../../_images/fig_times14434.png

(b) Computation time