mp-557845-2/Na2TiS2O/anharm

Harmonic properties

../../_images/fig_bandos_pr8203.png

(a) Phonon dispersion with participation ratio and DOS

../../_images/fig_thermo8203.png

(b) Thermodynamic properties

Grüneisen parameters

../../_images/fig_gru_all3364.png

(a) Grüneisen parameters

../../_images/fig_gruneisen3364.png

(b) Phonon dispersion with Grüneisen parameters

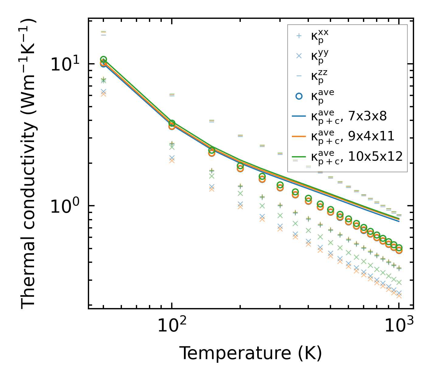
Thermal conductivity

3-phonon (LASSO) — q-mesh: 10x5x12, supercell: 2x1x3

../../_images/fig_kappa6368.png

(a) Temperature-dependent lattice thermal conductivity

../../_images/fig_kappa_vs_grain_size3408.png

(b) Peierls lattice thermal conductivity w.r.t grain size

Phonon lifetime and scattering rates

../../_images/fig_lifetime3334.png

(a) Phonon lifetime due to phonon-phonon scattering

../../_images/fig_scat_rates3333.png

(b) Phonon scattering rates

Cumulative and spectral thermal conductivity

../../_images/fig_cumu_frequency3334.png

(a) Spectral and cumulative thermal conductivity w.r.t frequency

../../_images/fig_cumu_mfp3333.png

(b) Spectral and cumulative thermal conductivity w.r.t MFP

Force constants

../../_images/fig_fc27965.png

(a) Force constants w.r.t atomic distance

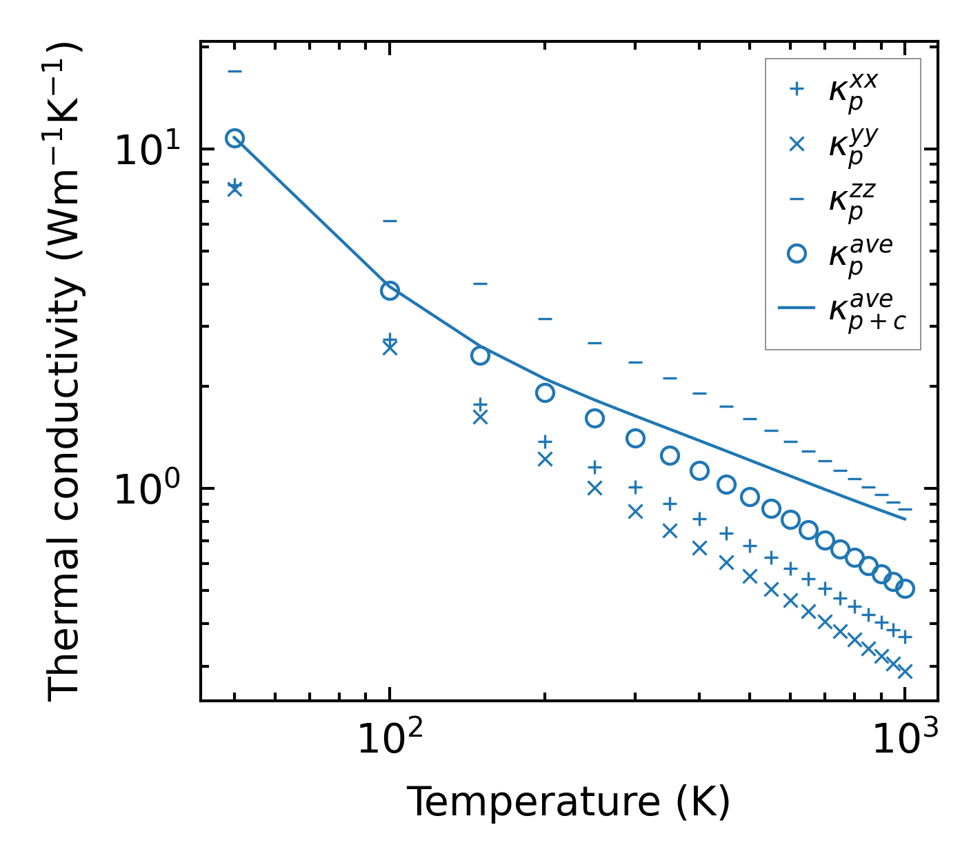
Summary

../../_images/fig_kappa6369.png

(a) Temperature-dependent lattice thermal conductivity

../../_images/fig_times14435.png

(b) Computation time