mp-557482-2/Ca5As3O12F/anharm

Harmonic properties

../../_images/fig_bandos_pr8453.png

(a) Phonon dispersion with participation ratio and DOS

../../_images/fig_thermo8453.png

(b) Thermodynamic properties

Grüneisen parameters

../../_images/fig_gru_all3445.png

(a) Grüneisen parameters

../../_images/fig_gruneisen3445.png

(b) Phonon dispersion with Grüneisen parameters

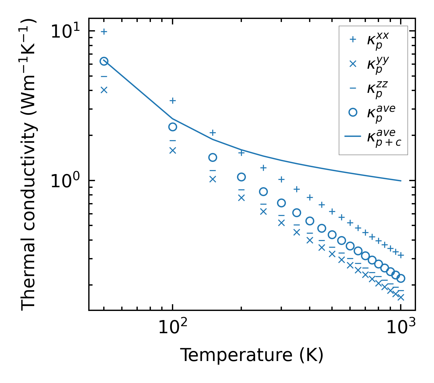
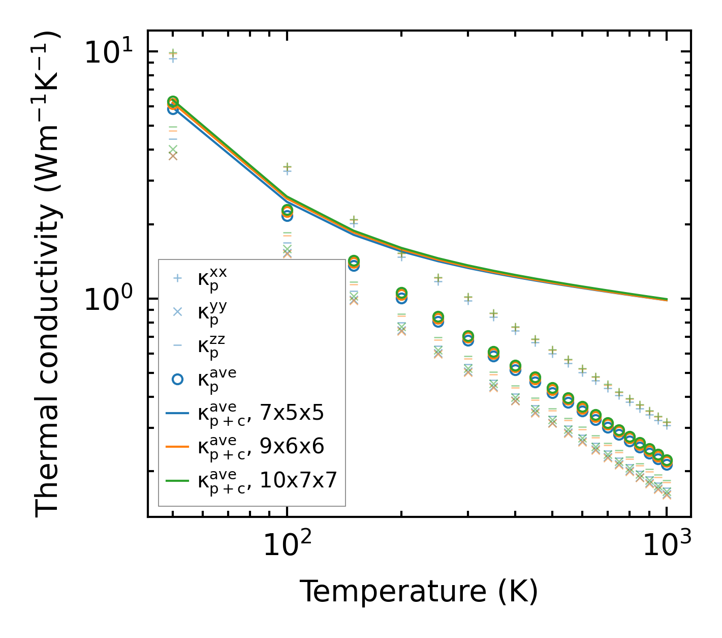
Thermal conductivity

3-phonon (LASSO) — q-mesh: 10x7x7, supercell: 2x1x1

../../_images/fig_kappa6517.png

(a) Temperature-dependent lattice thermal conductivity

../../_images/fig_kappa_vs_grain_size3488.png

(b) Peierls lattice thermal conductivity w.r.t grain size

Phonon lifetime and scattering rates

../../_images/fig_lifetime3413.png

(a) Phonon lifetime due to phonon-phonon scattering

../../_images/fig_scat_rates3412.png

(b) Phonon scattering rates

Cumulative and spectral thermal conductivity

../../_images/fig_cumu_frequency3413.png

(a) Spectral and cumulative thermal conductivity w.r.t frequency

../../_images/fig_cumu_mfp3412.png

(b) Spectral and cumulative thermal conductivity w.r.t MFP

Force constants

../../_images/fig_fc28215.png

(a) Force constants w.r.t atomic distance

Summary

../../_images/fig_kappa6518.png

(a) Temperature-dependent lattice thermal conductivity

../../_images/fig_times14826.png

(b) Computation time