mp-11982/Sr2CaTeO6/anharm

Equation of state

../../_images/fig_bm7731.png

(a) Equation of state

Harmonic properties

../../_images/fig_bandos_pr16492.png

(a) Phonon dispersion with participation ratio and DOS

../../_images/fig_thermo16491.png

(b) Thermodynamic properties

Grüneisen parameters

../../_images/fig_gru_all7137.png

(a) Grüneisen parameters

../../_images/fig_gruneisen7137.png

(b) Phonon dispersion with Grüneisen parameters

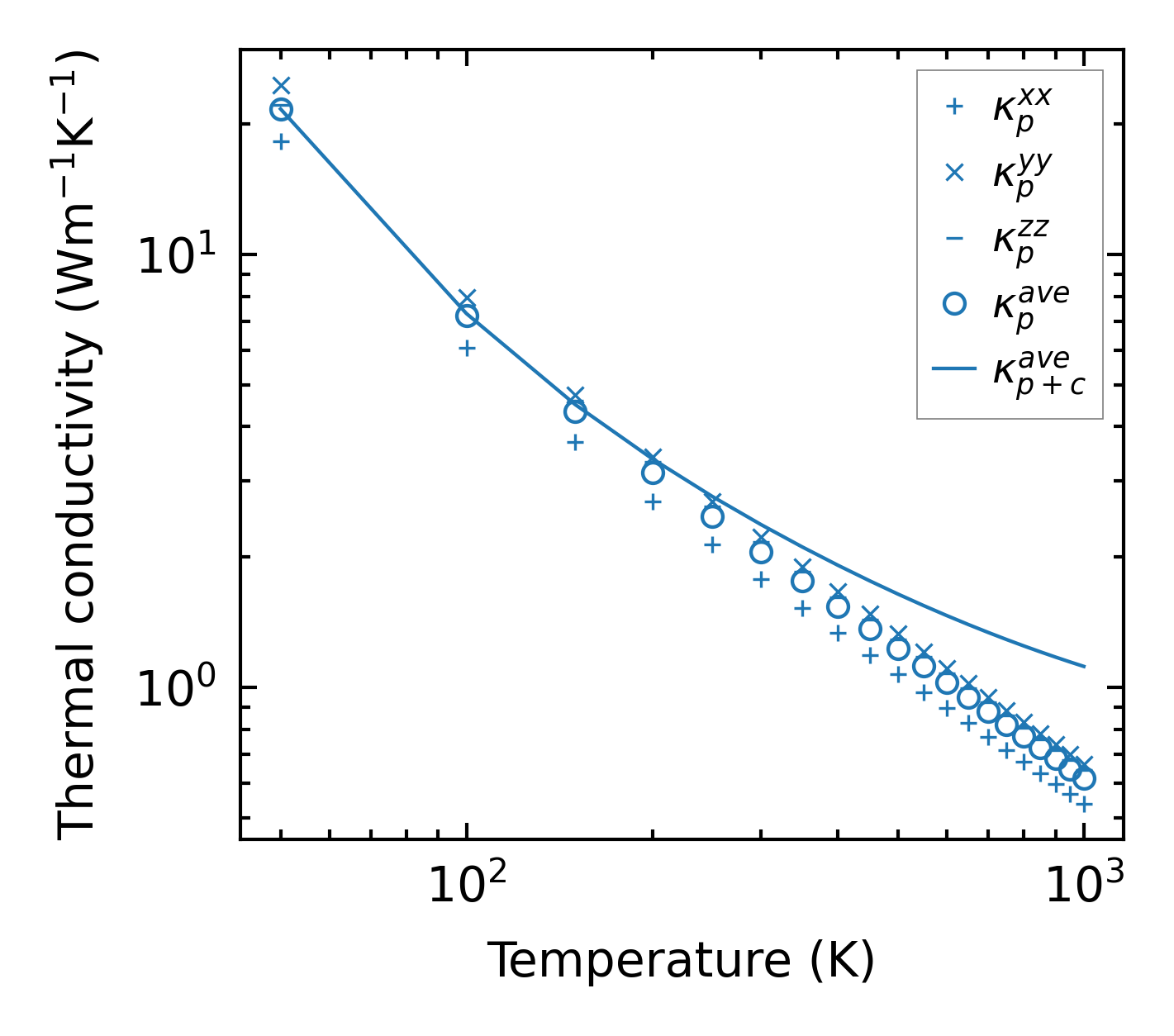
Thermal conductivity

3-phonon (LASSO) — q-mesh: 13x13x7, supercell: 2x2x1

../../_images/fig_kappa13456.png

(a) Temperature-dependent lattice thermal conductivity

../../_images/fig_kappa_vs_grain_size7223.png

(b) Peierls lattice thermal conductivity w.r.t grain size

Phonon lifetime and scattering rates

../../_images/fig_lifetime7071.png

(a) Phonon lifetime due to phonon-phonon scattering

../../_images/fig_scat_rates7070.png

(b) Phonon scattering rates

Cumulative and spectral thermal conductivity

../../_images/fig_cumu_frequency7071.png

(a) Spectral and cumulative thermal conductivity w.r.t frequency

../../_images/fig_cumu_mfp7070.png

(b) Spectral and cumulative thermal conductivity w.r.t MFP

Force constants

../../_images/fig_fc216067.png

(a) Force constants w.r.t atomic distance

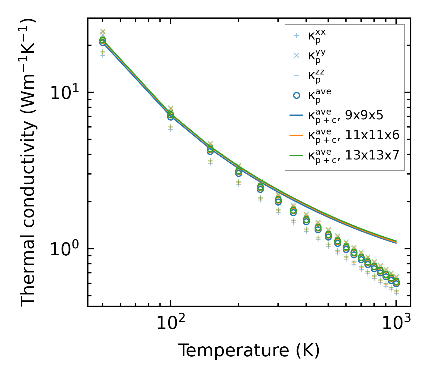
Summary

../../_images/fig_kappa13457.png

(a) Temperature-dependent lattice thermal conductivity

../../_images/fig_times26997.png

(b) Computation time