mp-11147-2/Na5CuSO2/anharm

Equation of state

../../_images/fig_bm7767.png

(a) Equation of state

Harmonic properties

../../_images/fig_bandos_pr16777.png

(a) Phonon dispersion with participation ratio and DOS

../../_images/fig_bandos21110.png

(b) Phonon dispersion and DOS

../../_images/fig_thermo16776.png

(c) Thermodynamic properties

Grüneisen parameters

../../_images/fig_gru_all7324.png

(a) Grüneisen parameters

../../_images/fig_gruneisen7324.png

(b) Phonon dispersion with Grüneisen parameters

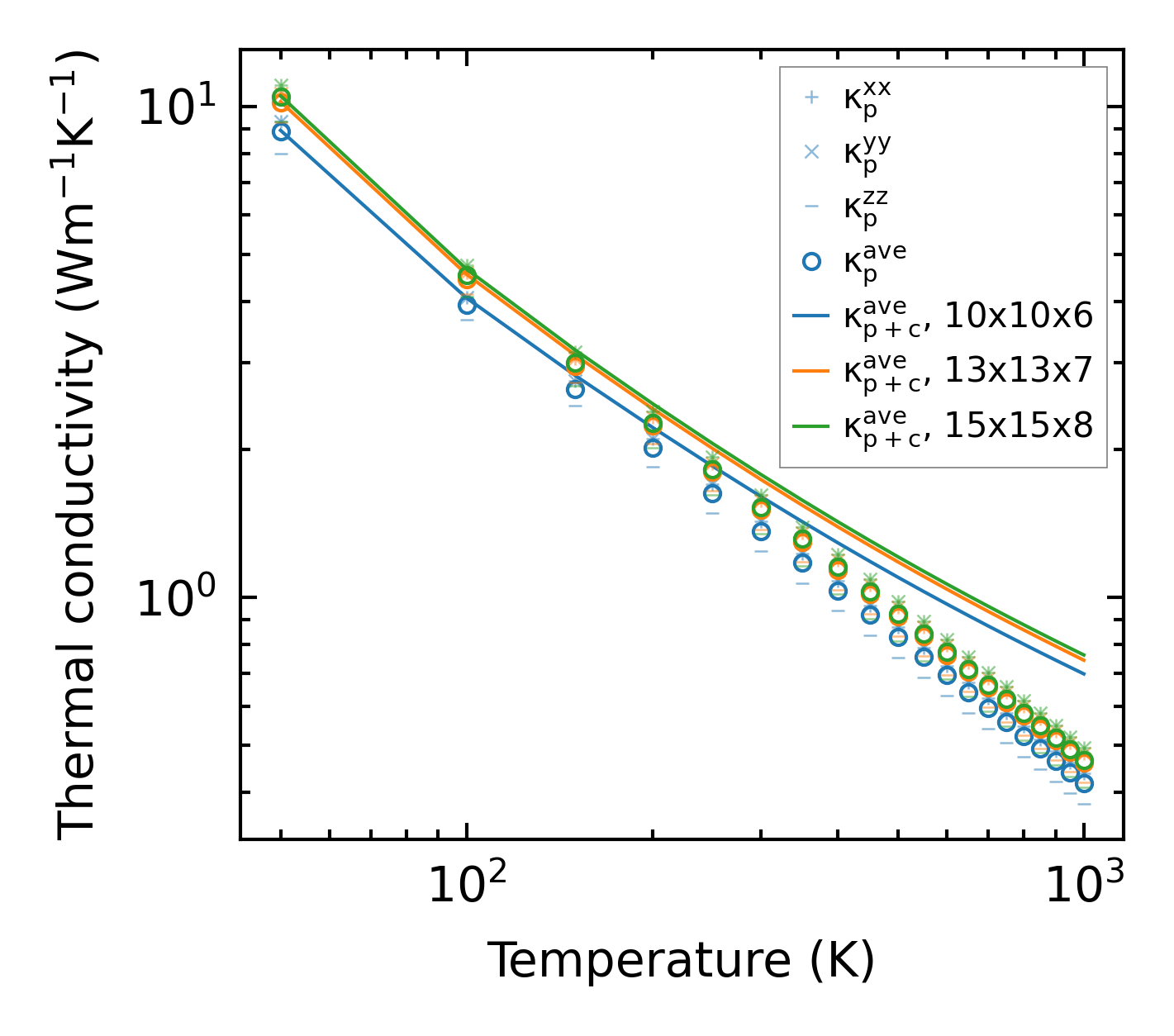
Thermal conductivity

3-phonon (LASSO) — q-mesh: 15x15x8, supercell: 2x2x2

../../_images/fig_kappa13813.png

(a) Temperature-dependent lattice thermal conductivity

../../_images/fig_kappa_vs_grain_size7410.png

(b) Peierls lattice thermal conductivity w.r.t grain size

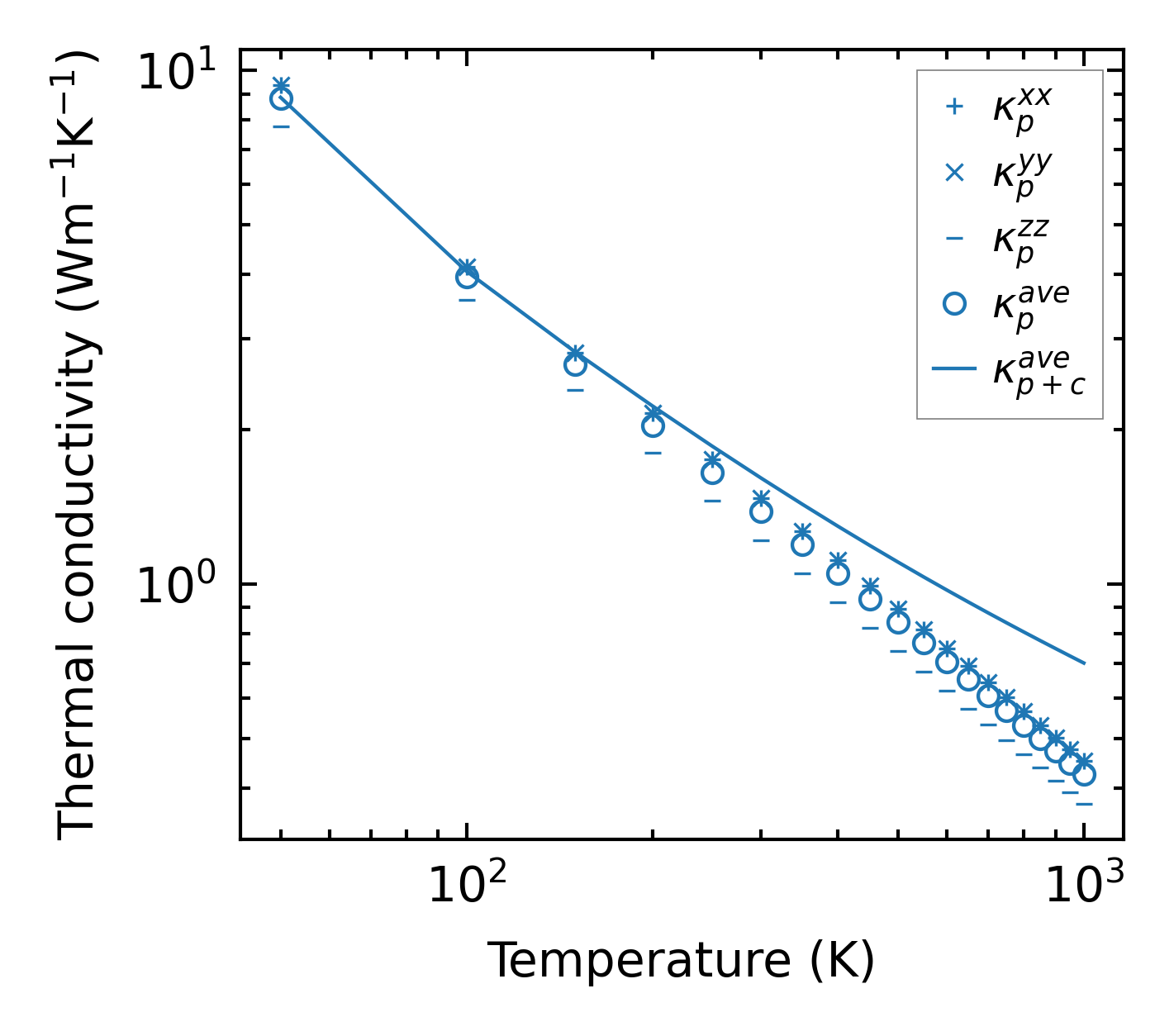
3-phonon (LASSO), supercell 3x3x2 — q-mesh: 15x15x8, supercell: 3x3x2

../../_images/fig_kappa13814.png

(a) Temperature-dependent lattice thermal conductivity

../../_images/fig_kappa_vs_grain_size7411.png

(b) Peierls lattice thermal conductivity w.r.t grain size

Phonon lifetime and scattering rates

../../_images/fig_lifetime7258.png

(a) Phonon lifetime due to phonon-phonon scattering

../../_images/fig_scat_rates7257.png

(b) Phonon scattering rates

Cumulative and spectral thermal conductivity

../../_images/fig_cumu_frequency7258.png

(a) Spectral and cumulative thermal conductivity w.r.t frequency

../../_images/fig_cumu_mfp7257.png

(b) Spectral and cumulative thermal conductivity w.r.t MFP

Force constants

../../_images/fig_fc216335.png

(a) Force constants w.r.t atomic distance

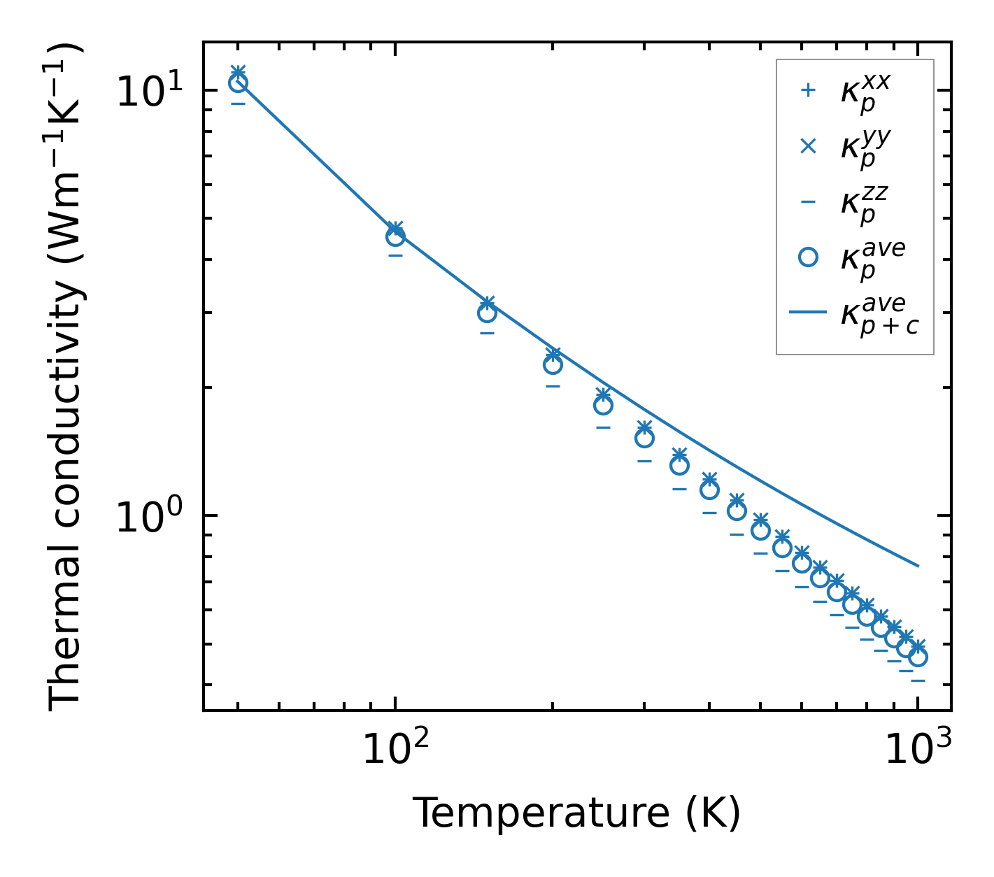
Summary

../../_images/fig_kappa13815.png

(a) Temperature-dependent lattice thermal conductivity

../../_images/fig_times27397.png

(b) Computation time