mp-11692/Ba3Si2As4/anharm

Equation of state

../../_images/fig_bm7714.png

(a) Equation of state

Harmonic properties

../../_images/fig_bandos_pr16449.png

(a) Phonon dispersion with participation ratio and DOS

../../_images/fig_bandos20861.png

(b) Phonon dispersion and DOS

../../_images/fig_thermo16448.png

(c) Thermodynamic properties

Grüneisen parameters

../../_images/fig_gru_all7111.png

(a) Grüneisen parameters

../../_images/fig_gruneisen7111.png

(b) Phonon dispersion with Grüneisen parameters

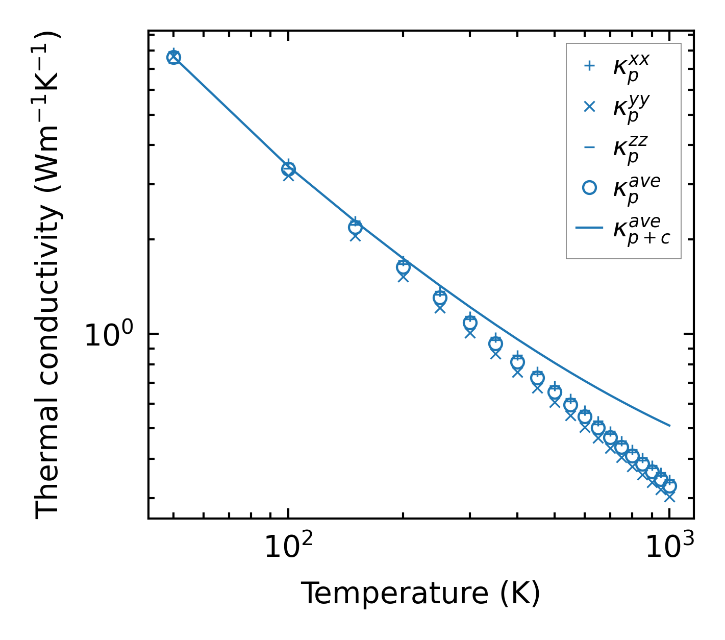
Thermal conductivity

3-phonon (LASSO), supercell 2x1x3 — q-mesh: 8x8x10, supercell: 2x1x3

../../_images/fig_kappa13401.png

(a) Temperature-dependent lattice thermal conductivity

../../_images/fig_kappa_vs_grain_size7193.png

(b) Peierls lattice thermal conductivity w.r.t grain size

Phonon lifetime and scattering rates

../../_images/fig_lifetime7045.png

(a) Phonon lifetime due to phonon-phonon scattering

../../_images/fig_scat_rates7044.png

(b) Phonon scattering rates

Cumulative and spectral thermal conductivity

../../_images/fig_cumu_frequency7045.png

(a) Spectral and cumulative thermal conductivity w.r.t frequency

../../_images/fig_cumu_mfp7044.png

(b) Spectral and cumulative thermal conductivity w.r.t MFP

Force constants

../../_images/fig_fc216029.png

(a) Force constants w.r.t atomic distance

Summary

../../_images/fig_times26950.png

(a) Computation time