mp-11893-2/K2PdC4N4/anharm

Harmonic properties

../../_images/fig_bandos_pr16483.png

(a) Phonon dispersion with participation ratio and DOS

../../_images/fig_thermo16482.png

(b) Thermodynamic properties

Grüneisen parameters

../../_images/fig_gru_all7131.png

(a) Grüneisen parameters

../../_images/fig_gruneisen7131.png

(b) Phonon dispersion with Grüneisen parameters

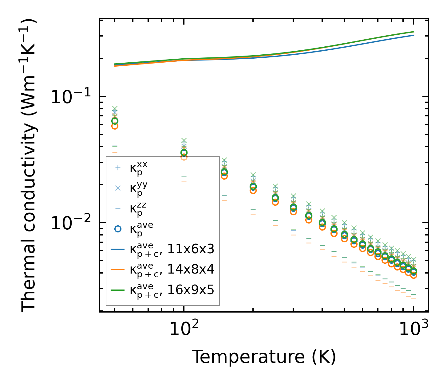
Thermal conductivity

3-phonon (LASSO) — q-mesh: 16x9x5, supercell: 3x2x1

../../_images/fig_kappa13443.png

(a) Temperature-dependent lattice thermal conductivity

../../_images/fig_kappa_vs_grain_size7216.png

(b) Peierls lattice thermal conductivity w.r.t grain size

Phonon lifetime and scattering rates

../../_images/fig_lifetime7065.png

(a) Phonon lifetime due to phonon-phonon scattering

../../_images/fig_scat_rates7064.png

(b) Phonon scattering rates

Cumulative and spectral thermal conductivity

../../_images/fig_cumu_frequency7065.png

(a) Spectral and cumulative thermal conductivity w.r.t frequency

../../_images/fig_cumu_mfp7064.png

(b) Spectral and cumulative thermal conductivity w.r.t MFP

Force constants

../../_images/fig_fc216058.png

(a) Force constants w.r.t atomic distance

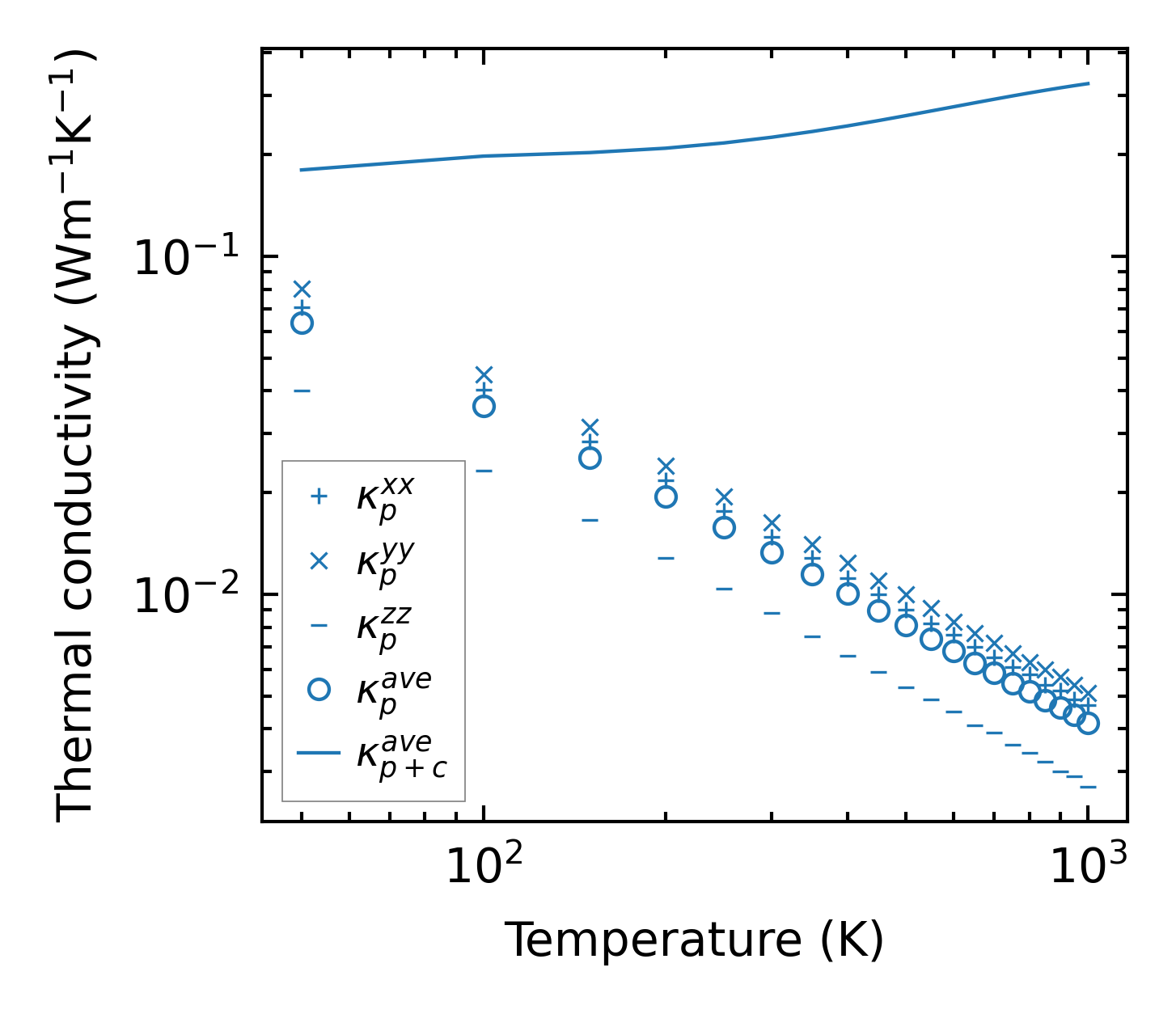
Summary

../../_images/fig_kappa13444.png

(a) Temperature-dependent lattice thermal conductivity

../../_images/fig_times26987.png

(b) Computation time