mp-11918/CaBe2N2/anharm

Equation of state

../../_images/fig_bm7728.png

(a) Equation of state

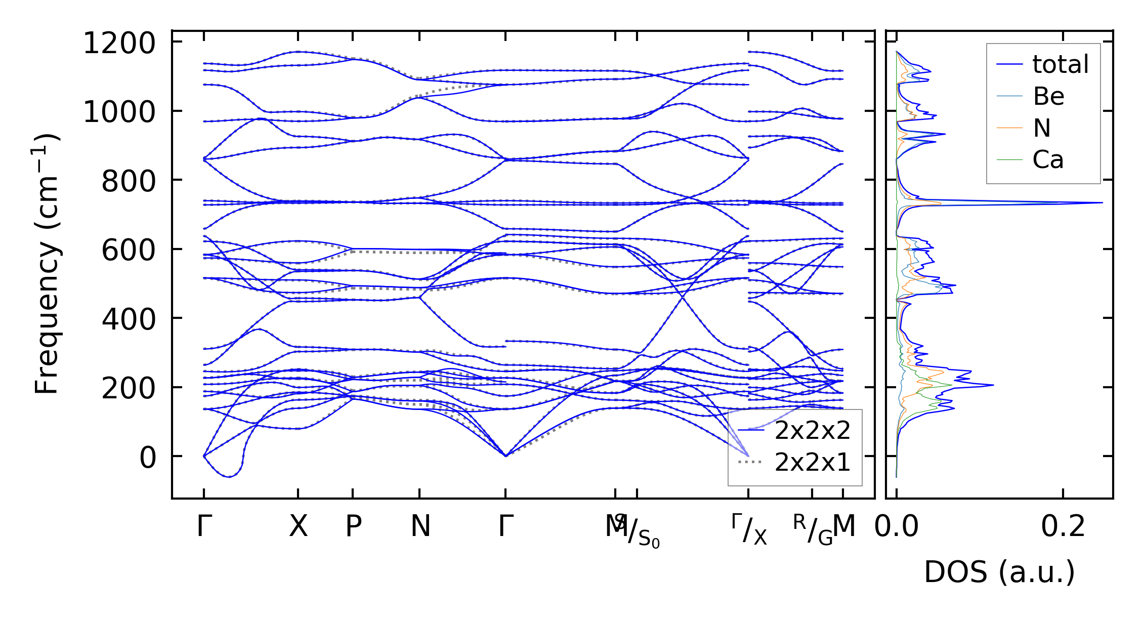
Harmonic properties

../../_images/fig_bandos_pr16487.png

(a) Phonon dispersion with participation ratio and DOS

../../_images/fig_bandos20881.png

(b) Phonon dispersion and DOS

../../_images/fig_thermo16486.png

(c) Thermodynamic properties

Grüneisen parameters

../../_images/fig_gru_all7134.png

(a) Grüneisen parameters

../../_images/fig_gruneisen7134.png

(b) Phonon dispersion with Grüneisen parameters

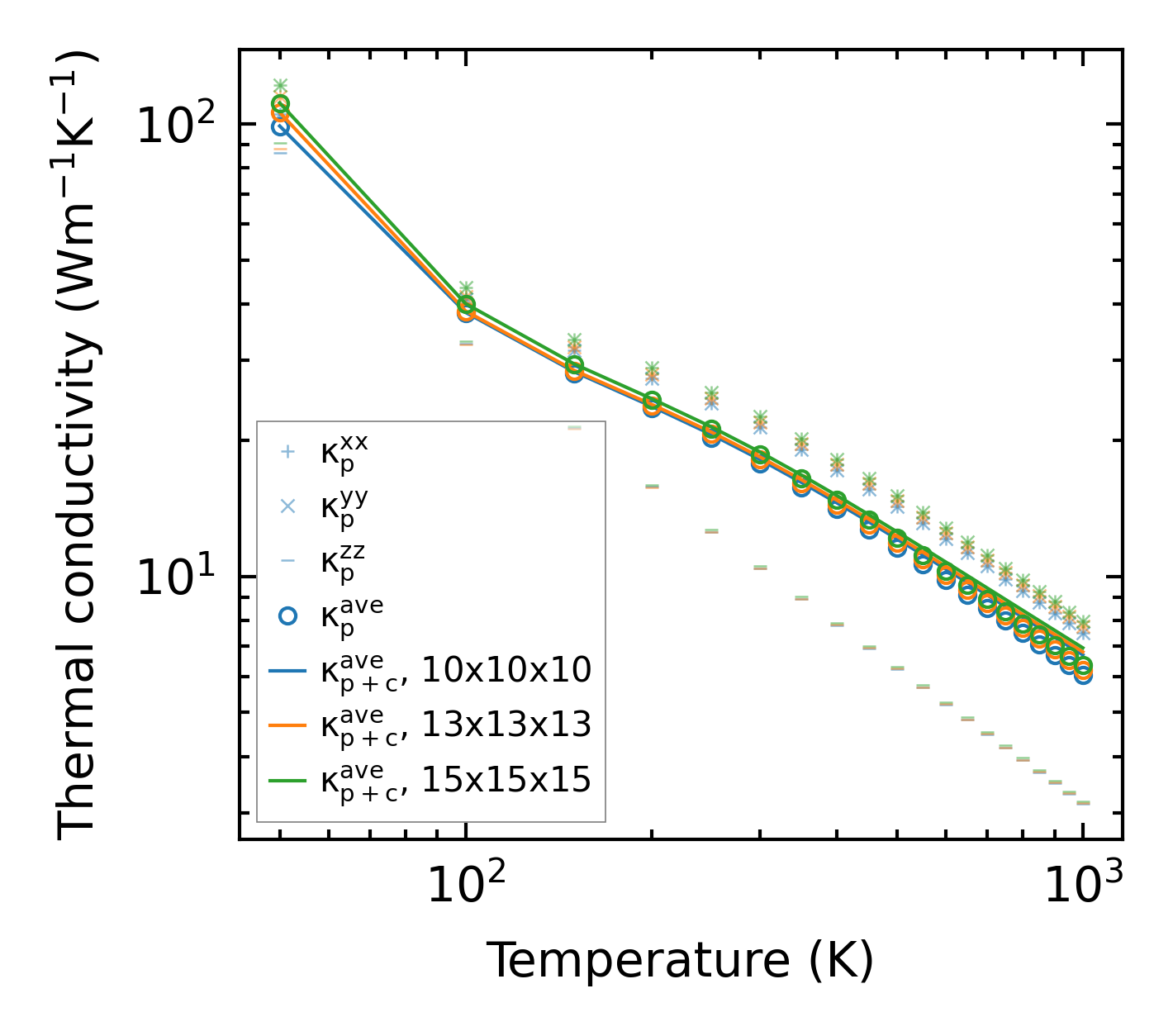
Thermal conductivity

3-phonon (LASSO) — q-mesh: 15x15x15, supercell: 2x2x1

../../_images/fig_kappa13450.png

(a) Temperature-dependent lattice thermal conductivity

../../_images/fig_kappa_vs_grain_size7220.png

(b) Peierls lattice thermal conductivity w.r.t grain size

Phonon lifetime and scattering rates

../../_images/fig_lifetime7068.png

(a) Phonon lifetime due to phonon-phonon scattering

../../_images/fig_scat_rates7067.png

(b) Phonon scattering rates

Cumulative and spectral thermal conductivity

../../_images/fig_cumu_frequency7068.png

(a) Spectral and cumulative thermal conductivity w.r.t frequency

../../_images/fig_cumu_mfp7067.png

(b) Spectral and cumulative thermal conductivity w.r.t MFP

Force constants

../../_images/fig_fc216062.png

(a) Force constants w.r.t atomic distance

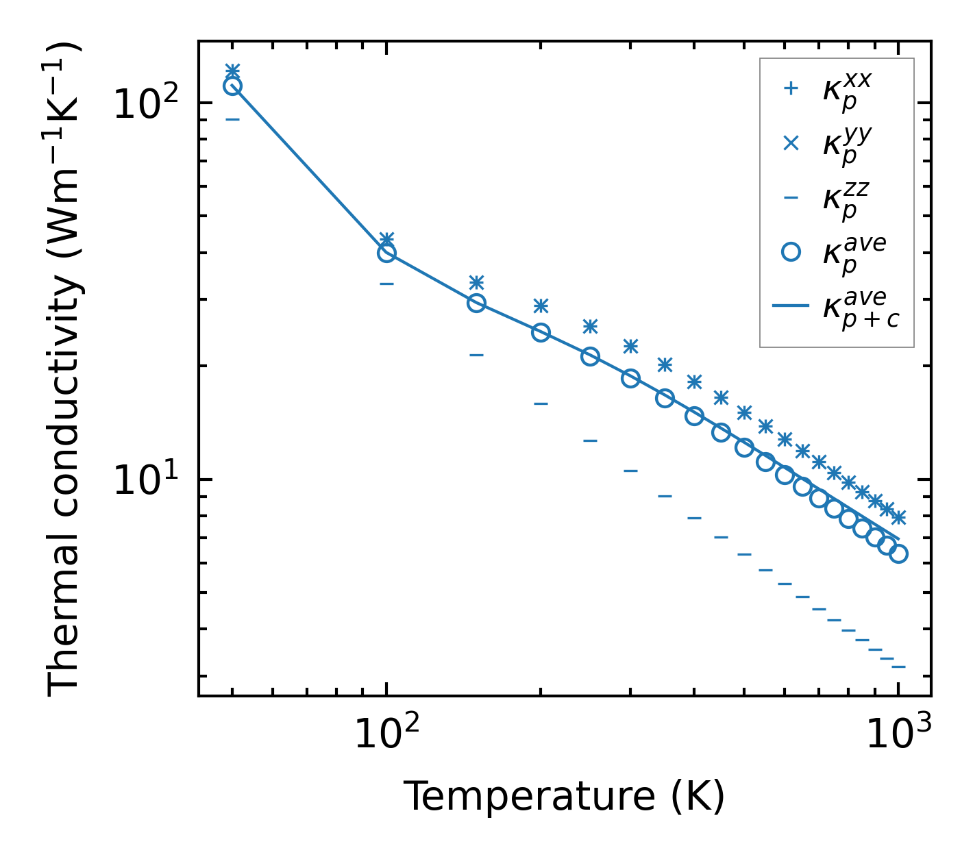
Summary

../../_images/fig_kappa13451.png

(a) Temperature-dependent lattice thermal conductivity

../../_images/fig_times26991.png

(b) Computation time