mp-11118/CsPrCdSe3/anharm

Harmonic properties

../../_images/fig_bandos_pr16771.png

(a) Phonon dispersion with participation ratio and DOS

../../_images/fig_thermo16770.png

(b) Thermodynamic properties

Grüneisen parameters

../../_images/fig_gru_all7319.png

(a) Grüneisen parameters

../../_images/fig_gruneisen7319.png

(b) Phonon dispersion with Grüneisen parameters

Thermal conductivity

3-phonon (LASSO) — q-mesh: 10x10x7, supercell: 3x1x2

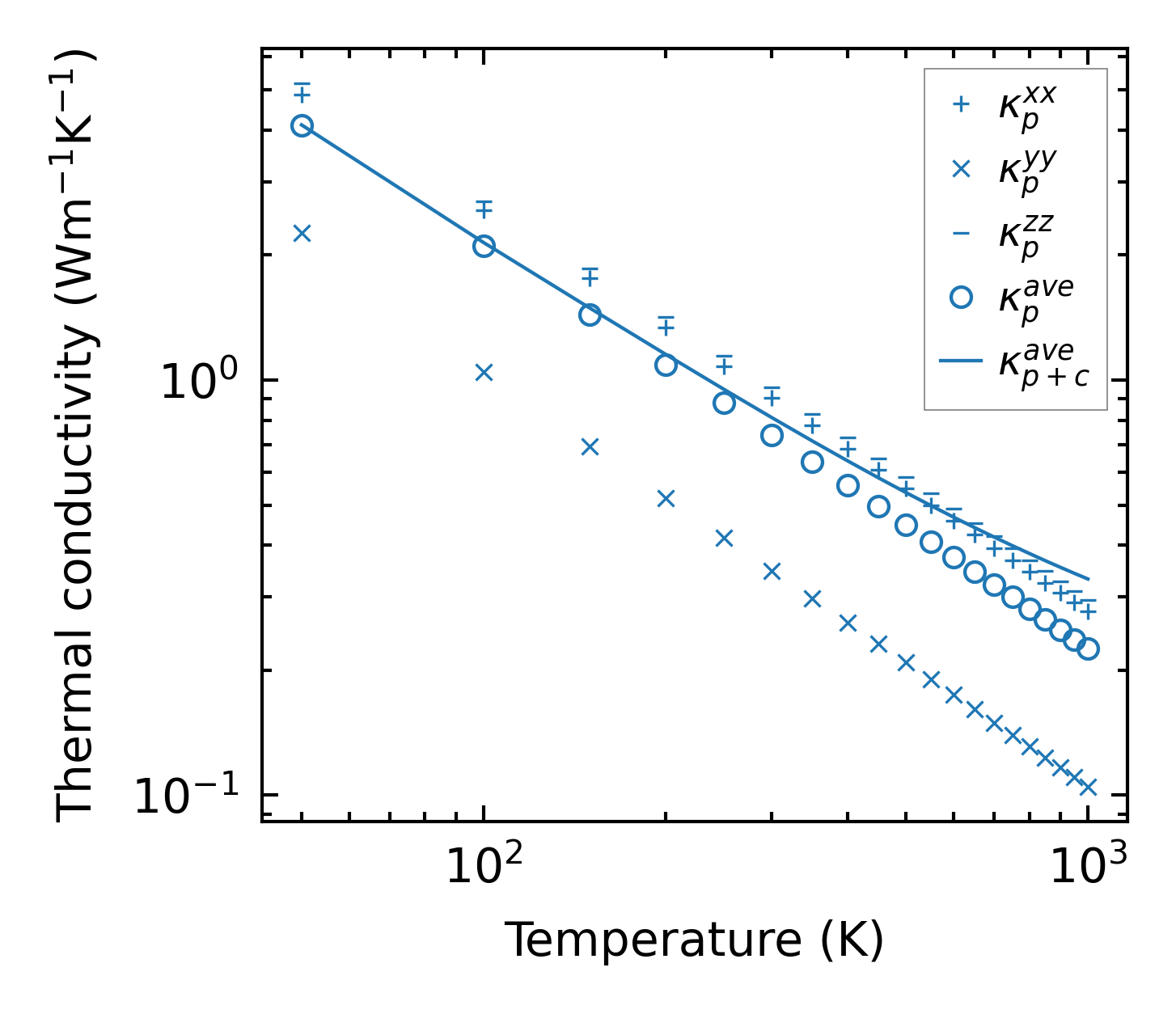
../../_images/fig_kappa13803.png

(a) Temperature-dependent lattice thermal conductivity

../../_images/fig_kappa_vs_grain_size7405.png

(b) Peierls lattice thermal conductivity w.r.t grain size

Phonon lifetime and scattering rates

../../_images/fig_lifetime7253.png

(a) Phonon lifetime due to phonon-phonon scattering

../../_images/fig_scat_rates7252.png

(b) Phonon scattering rates

Cumulative and spectral thermal conductivity

../../_images/fig_cumu_frequency7253.png

(a) Spectral and cumulative thermal conductivity w.r.t frequency

../../_images/fig_cumu_mfp7252.png

(b) Spectral and cumulative thermal conductivity w.r.t MFP

Force constants

../../_images/fig_fc216329.png

(a) Force constants w.r.t atomic distance

Summary

../../_images/fig_kappa13804.png

(a) Temperature-dependent lattice thermal conductivity

../../_images/fig_times27388.png

(b) Computation time