mp-11869/HfSnPd/anharm

Harmonic properties

../../_images/fig_bandos_pr16479.png

(a) Phonon dispersion with participation ratio and DOS

../../_images/fig_thermo16478.png

(b) Thermodynamic properties

Grüneisen parameters

../../_images/fig_gru_all7129.png

(a) Grüneisen parameters

../../_images/fig_gruneisen7129.png

(b) Phonon dispersion with Grüneisen parameters

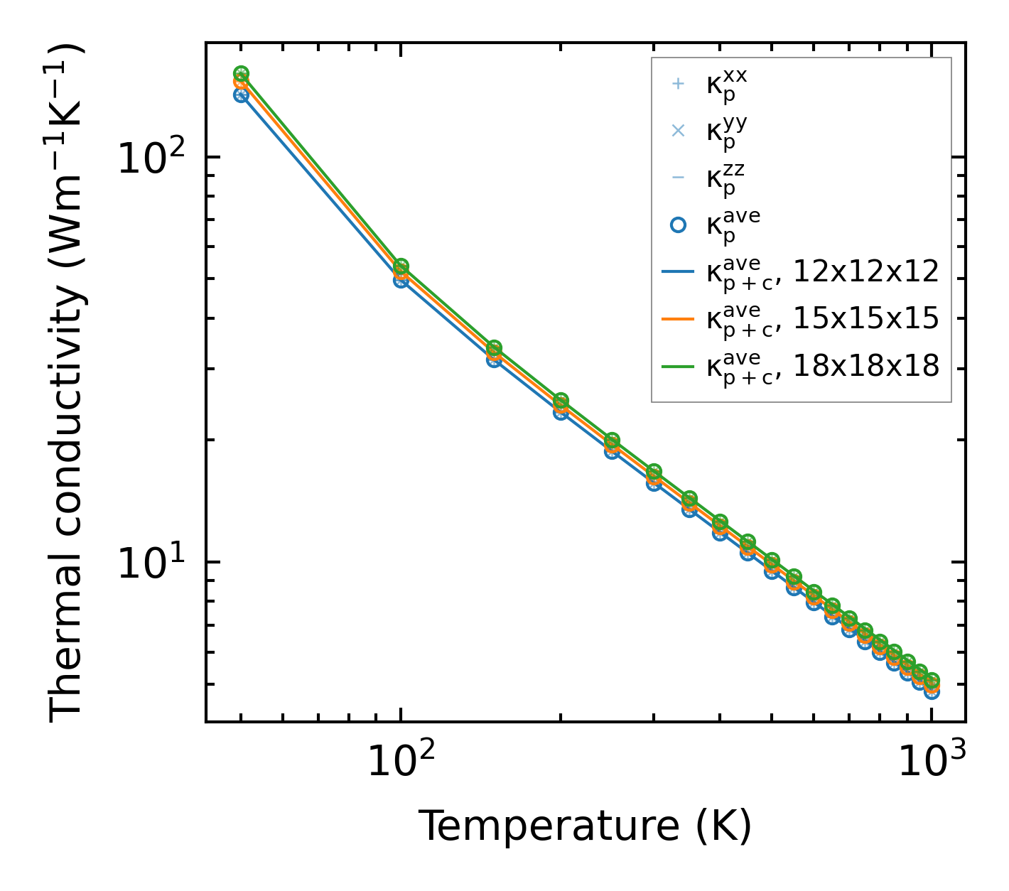
Thermal conductivity

3-phonon — q-mesh: 18x18x18, supercell: 2x2x2

../../_images/fig_kappa13439.png

(a) Temperature-dependent lattice thermal conductivity

../../_images/fig_kappa_vs_grain_size7214.png

(b) Peierls lattice thermal conductivity w.r.t grain size

Phonon lifetime and scattering rates

../../_images/fig_lifetime7063.png

(a) Phonon lifetime due to phonon-phonon scattering

../../_images/fig_scat_rates7062.png

(b) Phonon scattering rates

Cumulative and spectral thermal conductivity

../../_images/fig_cumu_frequency7063.png

(a) Spectral and cumulative thermal conductivity w.r.t frequency

../../_images/fig_cumu_mfp7062.png

(b) Spectral and cumulative thermal conductivity w.r.t MFP

Force constants

../../_images/fig_fc3425.png

(a) Force constants w.r.t atomic distance

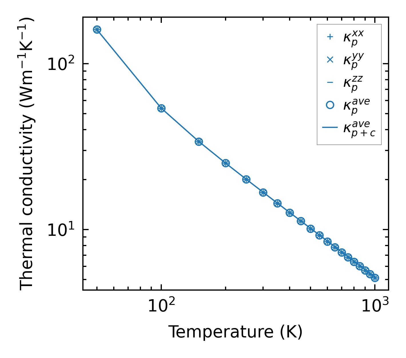
Summary

../../_images/fig_kappa13440.png

(a) Temperature-dependent lattice thermal conductivity

../../_images/fig_times26983.png

(b) Computation time