mp-11790-2/LaCuSe2/anharm

Harmonic properties

../../_images/fig_bandos_pr16473.png

(a) Phonon dispersion with participation ratio and DOS

../../_images/fig_thermo16472.png

(b) Thermodynamic properties

Grüneisen parameters

../../_images/fig_gru_all7125.png

(a) Grüneisen parameters

../../_images/fig_gruneisen7125.png

(b) Phonon dispersion with Grüneisen parameters

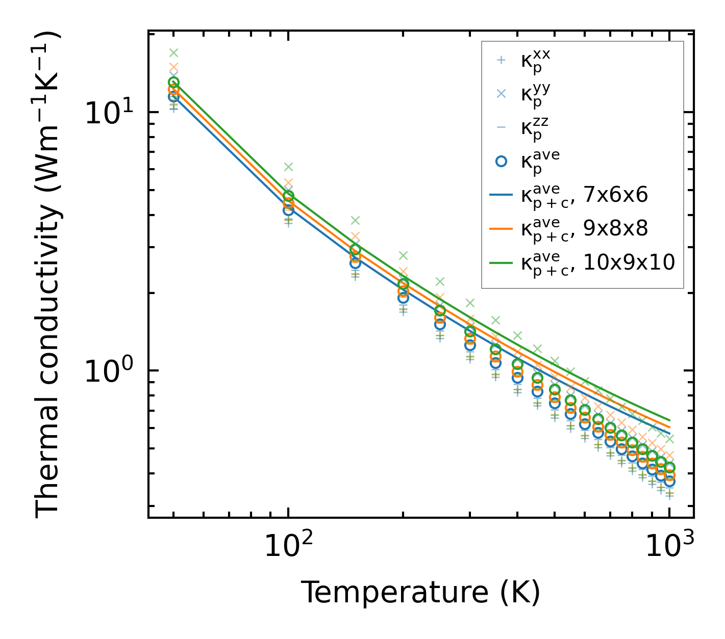
Thermal conductivity

3-phonon (LASSO) — q-mesh: 10x9x10, supercell: 2x2x2

../../_images/fig_kappa13431.png

(a) Temperature-dependent lattice thermal conductivity

../../_images/fig_kappa_vs_grain_size7210.png

(b) Peierls lattice thermal conductivity w.r.t grain size

Phonon lifetime and scattering rates

../../_images/fig_lifetime7059.png

(a) Phonon lifetime due to phonon-phonon scattering

../../_images/fig_scat_rates7058.png

(b) Phonon scattering rates

Cumulative and spectral thermal conductivity

../../_images/fig_cumu_frequency7059.png

(a) Spectral and cumulative thermal conductivity w.r.t frequency

../../_images/fig_cumu_mfp7058.png

(b) Spectral and cumulative thermal conductivity w.r.t MFP

Force constants

../../_images/fig_fc216050.png

(a) Force constants w.r.t atomic distance

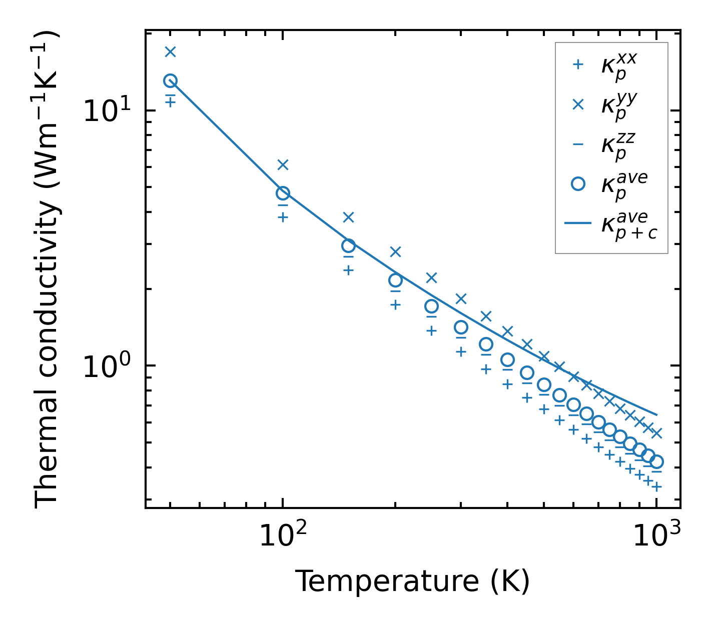
Summary

../../_images/fig_kappa13432.png

(a) Temperature-dependent lattice thermal conductivity

../../_images/fig_times26976.png

(b) Computation time