mp-11017/KCdN3O6/harm

Harmonic properties

../../_images/fig_bandos_pr16750.png

(a) Phonon dispersion with participation ratio and DOS

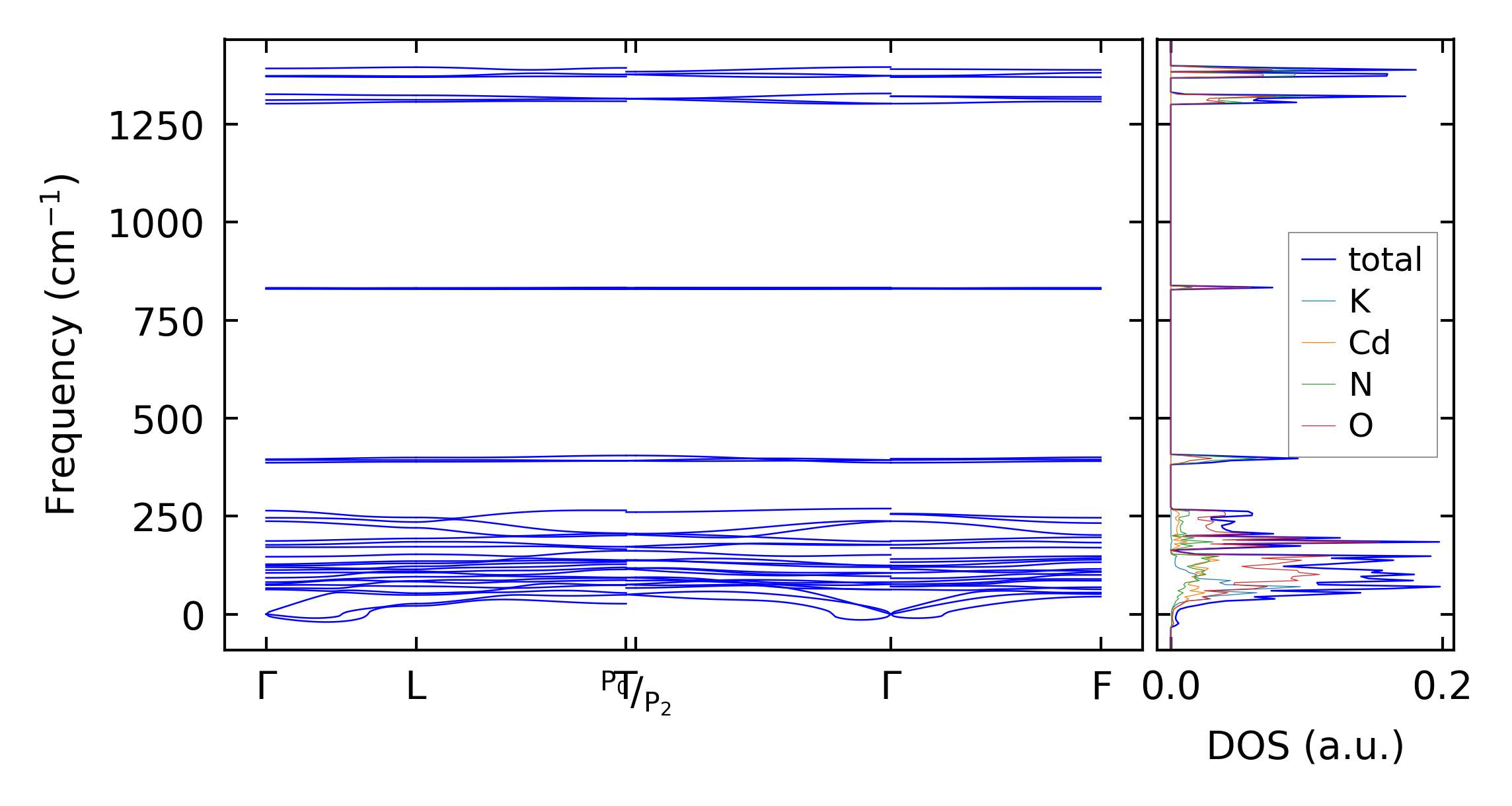
../../_images/fig_bandos21099.png

(b) Phonon dispersion and DOS

../../_images/fig_thermo16749.png

(c) Thermodynamic properties

Force constants

../../_images/fig_fc216308.png

(a) Force constants w.r.t atomic distance

Summary

../../_images/fig_times27367.png

(a) Computation time