mp-11790/LaCuSe2/anharm

Equation of state

../../_images/fig_bm7723.png

(a) Equation of state

Harmonic properties

../../_images/fig_bandos_pr16472.png

(a) Phonon dispersion with participation ratio and DOS

../../_images/fig_thermo16471.png

(b) Thermodynamic properties

Grüneisen parameters

../../_images/fig_gru_all7124.png

(a) Grüneisen parameters

../../_images/fig_gruneisen7124.png

(b) Phonon dispersion with Grüneisen parameters

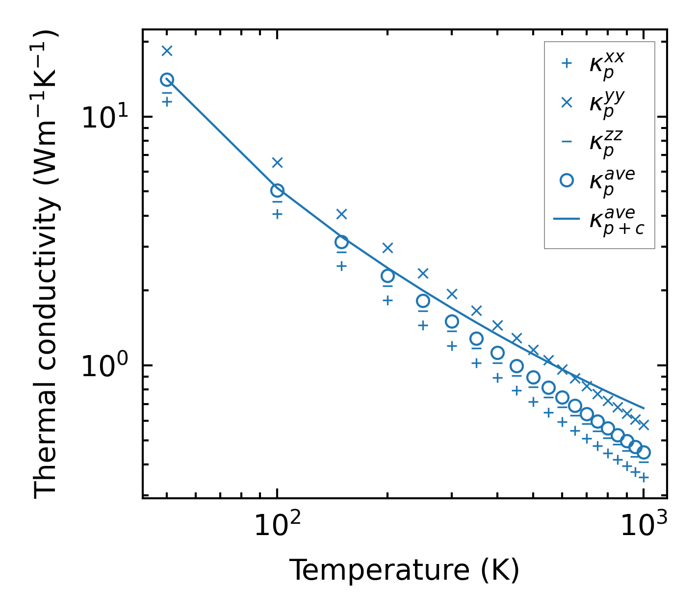
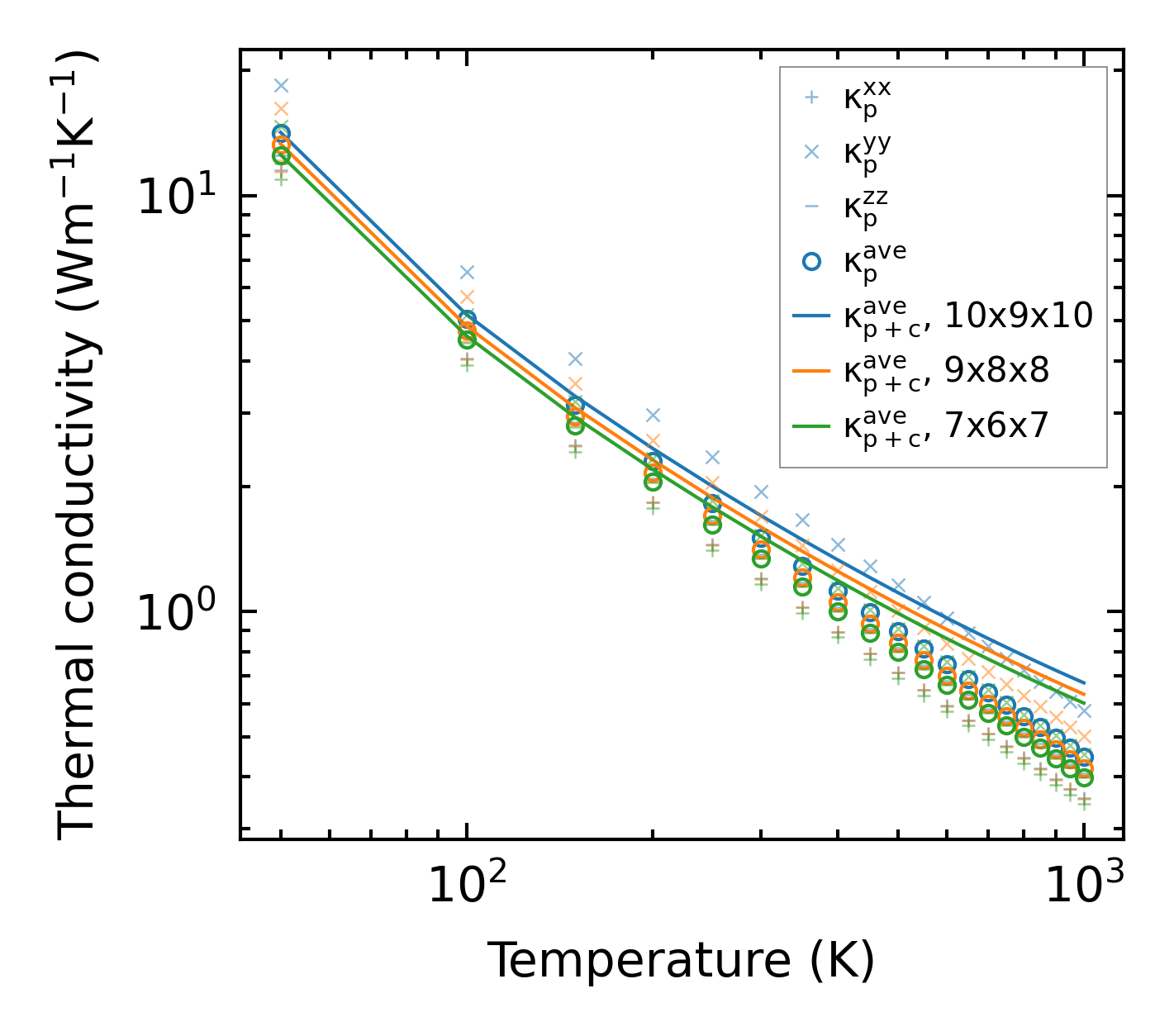
Thermal conductivity

3-phonon (LASSO) — q-mesh: 10x9x10, supercell: 2x2x2

../../_images/fig_kappa13429.png

(a) Temperature-dependent lattice thermal conductivity

../../_images/fig_kappa_vs_grain_size7209.png

(b) Peierls lattice thermal conductivity w.r.t grain size

Phonon lifetime and scattering rates

../../_images/fig_lifetime7058.png

(a) Phonon lifetime due to phonon-phonon scattering

../../_images/fig_scat_rates7057.png

(b) Phonon scattering rates

Cumulative and spectral thermal conductivity

../../_images/fig_cumu_frequency7058.png

(a) Spectral and cumulative thermal conductivity w.r.t frequency

../../_images/fig_cumu_mfp7057.png

(b) Spectral and cumulative thermal conductivity w.r.t MFP

Force constants

../../_images/fig_fc216049.png

(a) Force constants w.r.t atomic distance

Summary

../../_images/fig_kappa13430.png

(a) Temperature-dependent lattice thermal conductivity

../../_images/fig_times26975.png

(b) Computation time