mp-11725-2/CO2/anharm

Equation of state

../../_images/fig_bm7720.png

(a) Equation of state

Harmonic properties

../../_images/fig_bandos_pr16463.png

(a) Phonon dispersion with participation ratio and DOS

../../_images/fig_bandos20869.png

(b) Phonon dispersion and DOS

../../_images/fig_thermo16462.png

(c) Thermodynamic properties

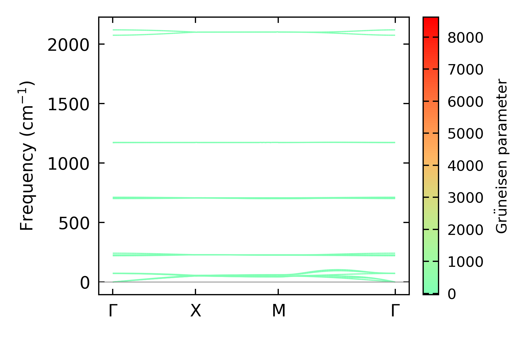
Grüneisen parameters

../../_images/fig_gru_all7119.png

(a) Grüneisen parameters

../../_images/fig_gruneisen7119.png

(b) Phonon dispersion with Grüneisen parameters

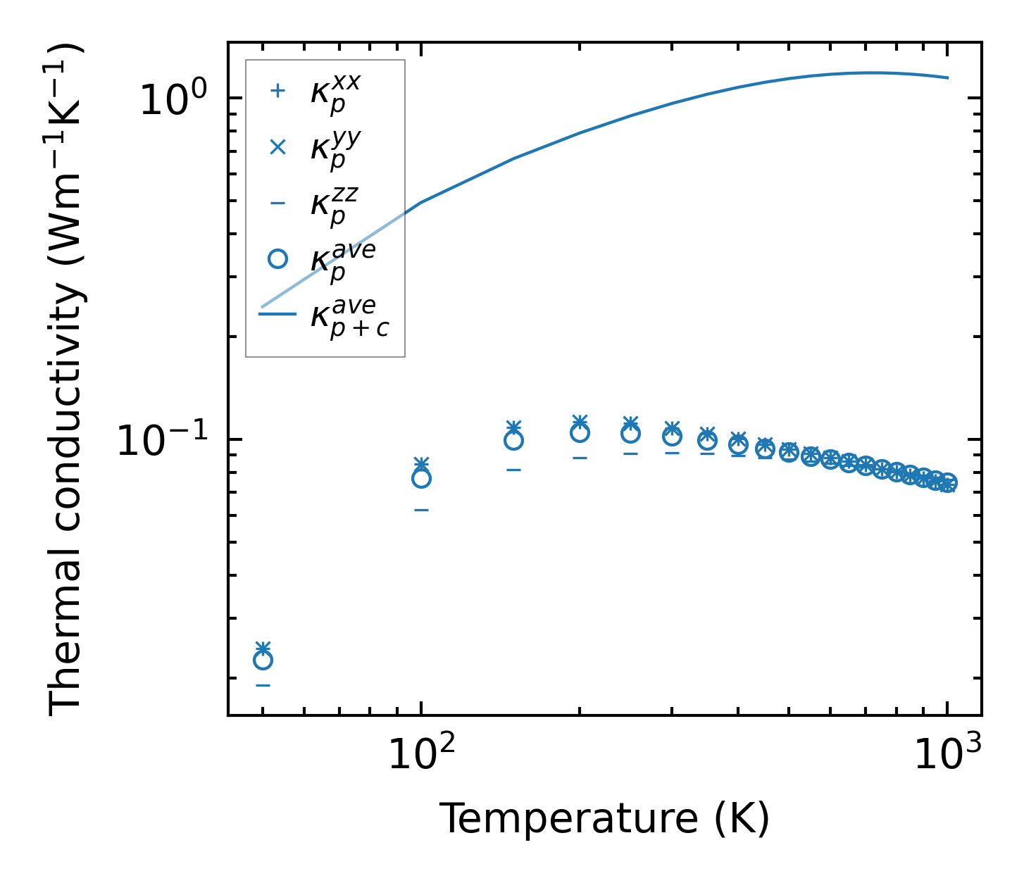
Thermal conductivity

3-phonon (LASSO) — q-mesh: 14x14x16, supercell: 2x2x3

../../_images/fig_kappa13417.png

(a) Temperature-dependent lattice thermal conductivity

../../_images/fig_kappa_vs_grain_size7202.png

(b) Peierls lattice thermal conductivity w.r.t grain size

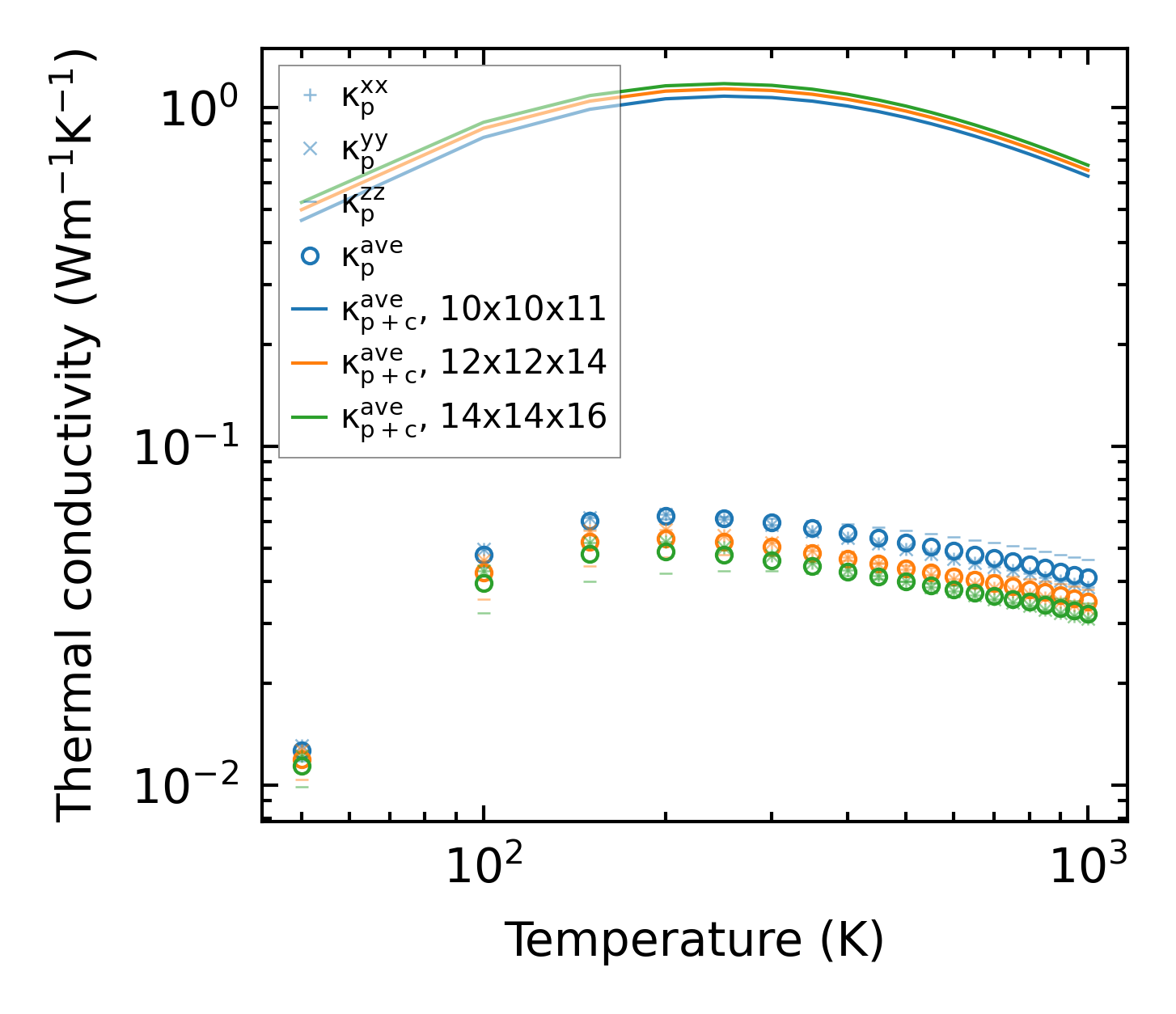
3-phonon (LASSO), supercell 3x3x3 — q-mesh: 14x14x16, supercell: 3x3x3

../../_images/fig_kappa13418.png

(a) Temperature-dependent lattice thermal conductivity

../../_images/fig_kappa_vs_grain_size7203.png

(b) Peierls lattice thermal conductivity w.r.t grain size

Phonon lifetime and scattering rates

../../_images/fig_lifetime7053.png

(a) Phonon lifetime due to phonon-phonon scattering

../../_images/fig_scat_rates7052.png

(b) Phonon scattering rates

Cumulative and spectral thermal conductivity

../../_images/fig_cumu_frequency7053.png

(a) Spectral and cumulative thermal conductivity w.r.t frequency

../../_images/fig_cumu_mfp7052.png

(b) Spectral and cumulative thermal conductivity w.r.t MFP

Force constants

../../_images/fig_fc216043.png

(a) Force constants w.r.t atomic distance

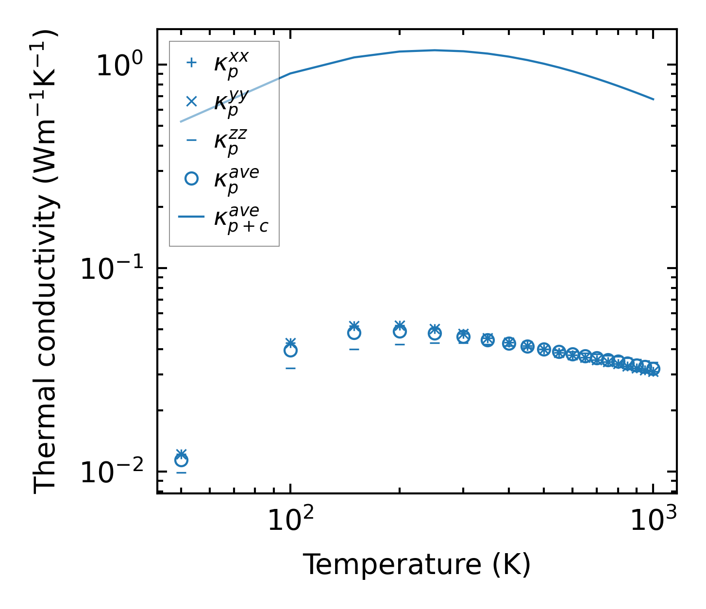
Summary

../../_images/fig_kappa13419.png

(a) Temperature-dependent lattice thermal conductivity

../../_images/fig_times26966.png

(b) Computation time