mp-11836/ErSbPd/anharm

Harmonic properties

../../_images/fig_bandos_pr16478.png

(a) Phonon dispersion with participation ratio and DOS

../../_images/fig_thermo16477.png

(b) Thermodynamic properties

Grüneisen parameters

../../_images/fig_gru_all7128.png

(a) Grüneisen parameters

../../_images/fig_gruneisen7128.png

(b) Phonon dispersion with Grüneisen parameters

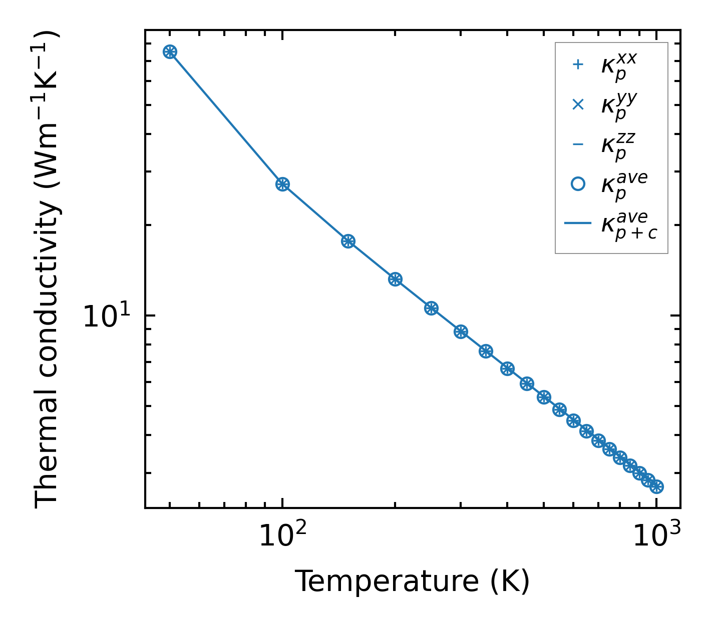
Thermal conductivity

3-phonon — q-mesh: 17x17x17, supercell: 2x2x2

../../_images/fig_kappa13437.png

(a) Temperature-dependent lattice thermal conductivity

../../_images/fig_kappa_vs_grain_size7213.png

(b) Peierls lattice thermal conductivity w.r.t grain size

Phonon lifetime and scattering rates

../../_images/fig_lifetime7062.png

(a) Phonon lifetime due to phonon-phonon scattering

../../_images/fig_scat_rates7061.png

(b) Phonon scattering rates

Cumulative and spectral thermal conductivity

../../_images/fig_cumu_frequency7062.png

(a) Spectral and cumulative thermal conductivity w.r.t frequency

../../_images/fig_cumu_mfp7061.png

(b) Spectral and cumulative thermal conductivity w.r.t MFP

Force constants

../../_images/fig_fc3424.png

(a) Force constants w.r.t atomic distance

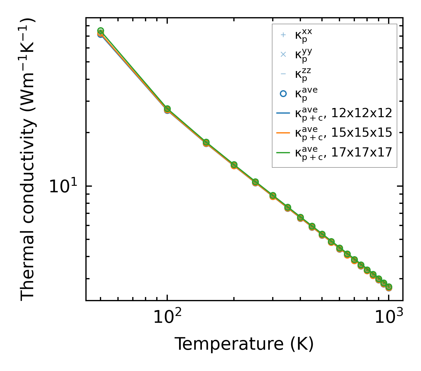
Summary

../../_images/fig_kappa13438.png

(a) Temperature-dependent lattice thermal conductivity

../../_images/fig_times26982.png

(b) Computation time