mp-11327/Rb2Se/anharm

Harmonic properties

../../_images/fig_bandos_pr16799.png

(a) Phonon dispersion with participation ratio and DOS

../../_images/fig_thermo16798.png

(b) Thermodynamic properties

Grüneisen parameters

../../_images/fig_gru_all7337.png

(a) Grüneisen parameters

../../_images/fig_gruneisen7337.png

(b) Phonon dispersion with Grüneisen parameters

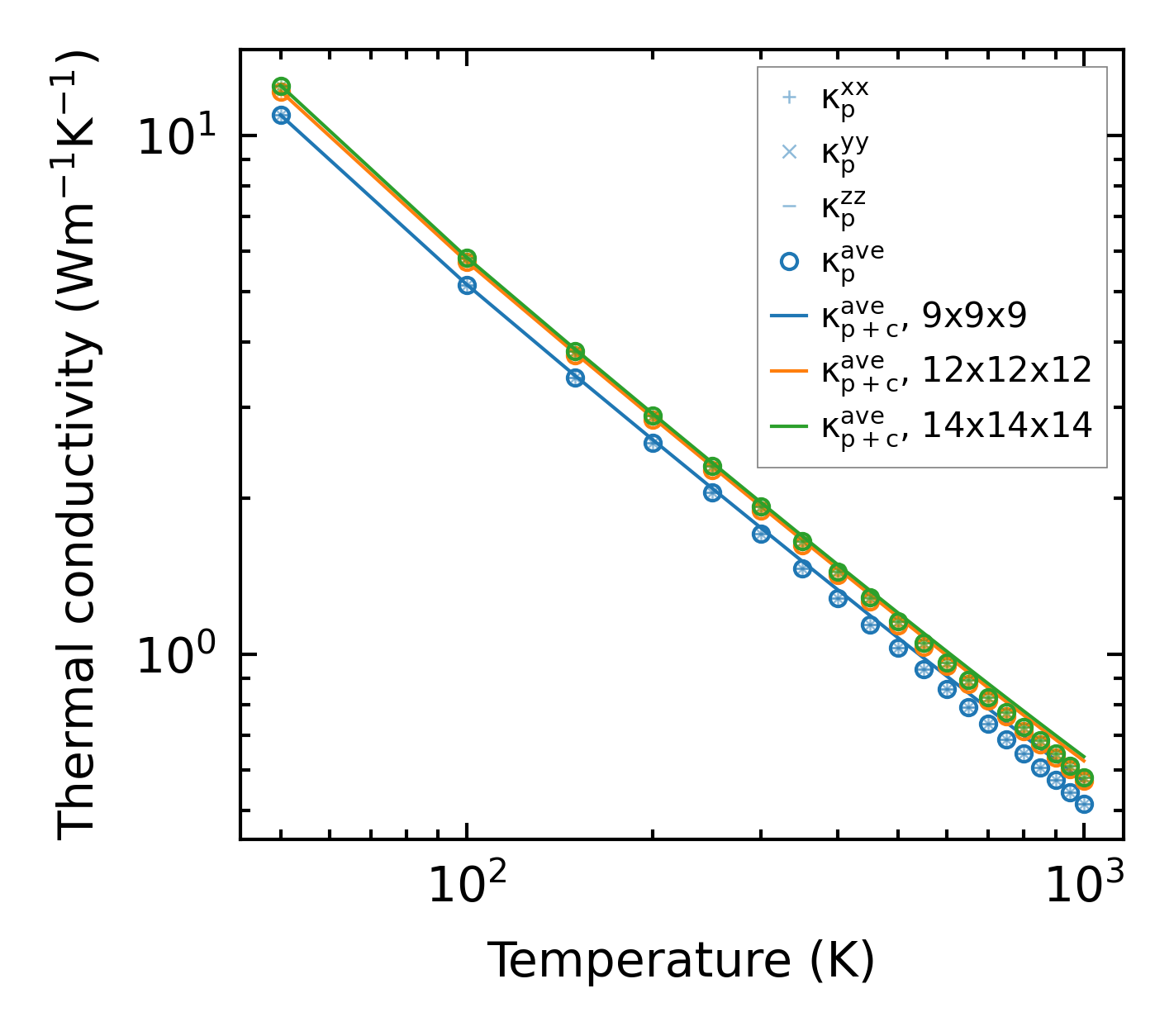
Thermal conductivity

3-phonon — q-mesh: 14x14x14, supercell: 2x2x2

../../_images/fig_kappa13839.png

(a) Temperature-dependent lattice thermal conductivity

../../_images/fig_kappa_vs_grain_size7424.png

(b) Peierls lattice thermal conductivity w.r.t grain size

Phonon lifetime and scattering rates

../../_images/fig_lifetime7271.png

(a) Phonon lifetime due to phonon-phonon scattering

../../_images/fig_scat_rates7270.png

(b) Phonon scattering rates

Cumulative and spectral thermal conductivity

../../_images/fig_cumu_frequency7271.png

(a) Spectral and cumulative thermal conductivity w.r.t frequency

../../_images/fig_cumu_mfp7270.png

(b) Spectral and cumulative thermal conductivity w.r.t MFP

Force constants

../../_images/fig_fc3443.png

(a) Force constants w.r.t atomic distance

Summary

../../_images/fig_kappa13840.png

(a) Temperature-dependent lattice thermal conductivity

../../_images/fig_times27421.png

(b) Computation time