mp-11022/ScAgO2/anharm

Equation of state

../../_images/fig_bm7760.png

(a) Equation of state

Harmonic properties

../../_images/fig_bandos_pr16756.png

(a) Phonon dispersion with participation ratio and DOS

../../_images/fig_thermo16755.png

(b) Thermodynamic properties

Grüneisen parameters

../../_images/fig_gru_all7308.png

(a) Grüneisen parameters

../../_images/fig_gruneisen7308.png

(b) Phonon dispersion with Grüneisen parameters

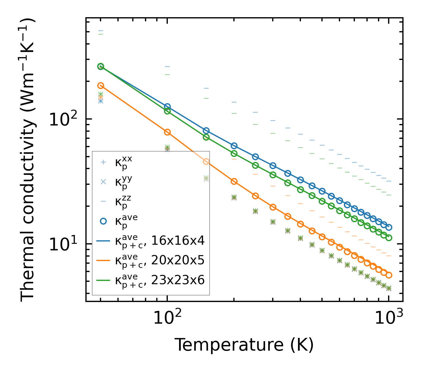
Thermal conductivity

3-phonon (LASSO) — q-mesh: 23x23x6, supercell: 4x4x1

../../_images/fig_kappa13781.png

(a) Temperature-dependent lattice thermal conductivity

../../_images/fig_kappa_vs_grain_size7394.png

(b) Peierls lattice thermal conductivity w.r.t grain size

Phonon lifetime and scattering rates

../../_images/fig_lifetime7242.png

(a) Phonon lifetime due to phonon-phonon scattering

../../_images/fig_scat_rates7241.png

(b) Phonon scattering rates

Cumulative and spectral thermal conductivity

../../_images/fig_cumu_frequency7242.png

(a) Spectral and cumulative thermal conductivity w.r.t frequency

../../_images/fig_cumu_mfp7241.png

(b) Spectral and cumulative thermal conductivity w.r.t MFP

Force constants

../../_images/fig_fc216314.png

(a) Force constants w.r.t atomic distance

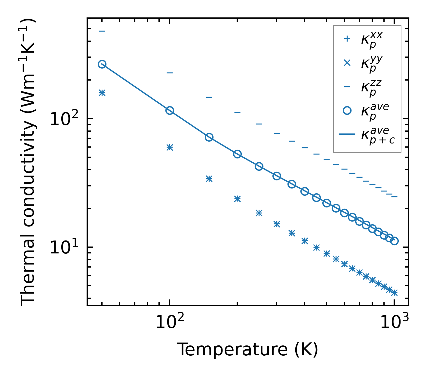
Summary

../../_images/fig_kappa13782.png

(a) Temperature-dependent lattice thermal conductivity

../../_images/fig_times27373.png

(b) Computation time