mp-11054/RbSn/anharm

Equation of state

../../_images/fig_bm7762.png

(a) Equation of state

Harmonic properties

../../_images/fig_bandos_pr16762.png

(a) Phonon dispersion with participation ratio and DOS

../../_images/fig_thermo16761.png

(b) Thermodynamic properties

Grüneisen parameters

../../_images/fig_gru_all7312.png

(a) Grüneisen parameters

../../_images/fig_gruneisen7312.png

(b) Phonon dispersion with Grüneisen parameters

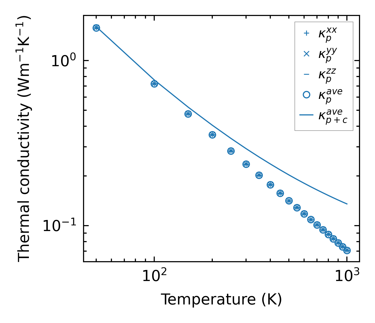
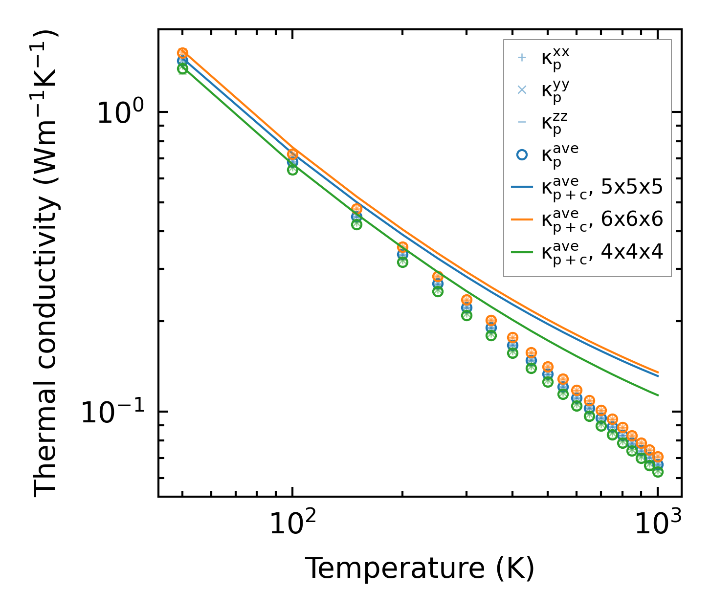
Thermal conductivity

3-phonon (LASSO) — q-mesh: 6x6x6, supercell: 1x1x1

../../_images/fig_kappa13789.png

(a) Temperature-dependent lattice thermal conductivity

../../_images/fig_kappa_vs_grain_size7398.png

(b) Peierls lattice thermal conductivity w.r.t grain size

Phonon lifetime and scattering rates

../../_images/fig_lifetime7246.png

(a) Phonon lifetime due to phonon-phonon scattering

../../_images/fig_scat_rates7245.png

(b) Phonon scattering rates

Cumulative and spectral thermal conductivity

../../_images/fig_cumu_frequency7246.png

(a) Spectral and cumulative thermal conductivity w.r.t frequency

../../_images/fig_cumu_mfp7245.png

(b) Spectral and cumulative thermal conductivity w.r.t MFP

Force constants

../../_images/fig_fc216320.png

(a) Force constants w.r.t atomic distance

Summary

../../_images/fig_kappa13790.png

(a) Temperature-dependent lattice thermal conductivity

../../_images/fig_times27379.png

(b) Computation time