mp-11902/Ba2GeSe4/anharm

Equation of state

../../_images/fig_bm7727.png

(a) Equation of state

Harmonic properties

../../_images/fig_bandos_pr16484.png

(a) Phonon dispersion with participation ratio and DOS

../../_images/fig_bandos20879.png

(b) Phonon dispersion and DOS

../../_images/fig_thermo16483.png

(c) Thermodynamic properties

Grüneisen parameters

../../_images/fig_gru_all7132.png

(a) Grüneisen parameters

../../_images/fig_gruneisen7132.png

(b) Phonon dispersion with Grüneisen parameters

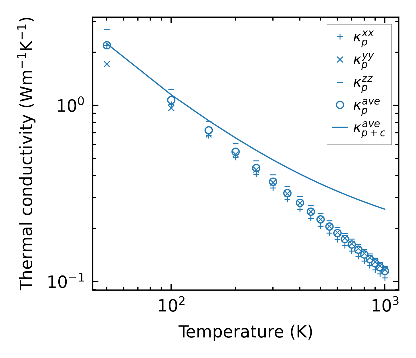
Thermal conductivity

3-phonon (LASSO) — q-mesh: 10x10x8, supercell: 2x2x2

../../_images/fig_kappa13445.png

(a) Temperature-dependent lattice thermal conductivity

../../_images/fig_kappa_vs_grain_size7217.png

(b) Peierls lattice thermal conductivity w.r.t grain size

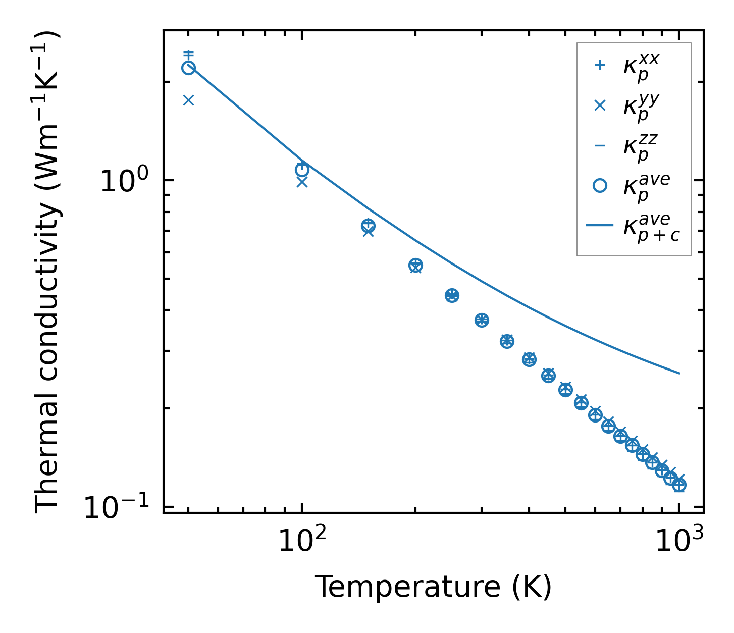
3-phonon (LASSO), supercell 3x2x2 — q-mesh: 10x10x8, supercell: 3x2x2

../../_images/fig_kappa13446.png

(a) Temperature-dependent lattice thermal conductivity

../../_images/fig_kappa_vs_grain_size7218.png

(b) Peierls lattice thermal conductivity w.r.t grain size

Phonon lifetime and scattering rates

../../_images/fig_lifetime7066.png

(a) Phonon lifetime due to phonon-phonon scattering

../../_images/fig_scat_rates7065.png

(b) Phonon scattering rates

Cumulative and spectral thermal conductivity

../../_images/fig_cumu_frequency7066.png

(a) Spectral and cumulative thermal conductivity w.r.t frequency

../../_images/fig_cumu_mfp7065.png

(b) Spectral and cumulative thermal conductivity w.r.t MFP

Force constants

../../_images/fig_fc216059.png

(a) Force constants w.r.t atomic distance

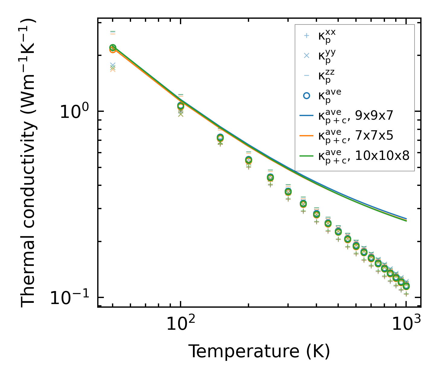
Summary

../../_images/fig_kappa13447.png

(a) Temperature-dependent lattice thermal conductivity

../../_images/fig_times26988.png

(b) Computation time