mp-11714/SiC/anharm

Equation of state

../../_images/fig_bm7718.png

(a) Equation of state

Harmonic properties

../../_images/fig_bandos_pr16457.png

(a) Phonon dispersion with participation ratio and DOS

../../_images/fig_thermo16456.png

(b) Thermodynamic properties

Grüneisen parameters

../../_images/fig_gru_all7113.png

(a) Grüneisen parameters

../../_images/fig_gruneisen7113.png

(b) Phonon dispersion with Grüneisen parameters

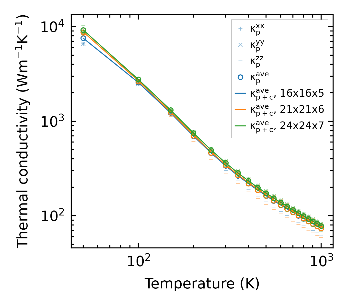
Thermal conductivity

3-phonon (LASSO) — q-mesh: 24x24x7, supercell: 4x4x1

../../_images/fig_kappa13405.png

(a) Temperature-dependent lattice thermal conductivity

../../_images/fig_kappa_vs_grain_size7196.png

(b) Peierls lattice thermal conductivity w.r.t grain size

Phonon lifetime and scattering rates

../../_images/fig_lifetime7047.png

(a) Phonon lifetime due to phonon-phonon scattering

../../_images/fig_scat_rates7046.png

(b) Phonon scattering rates

Cumulative and spectral thermal conductivity

../../_images/fig_cumu_frequency7047.png

(a) Spectral and cumulative thermal conductivity w.r.t frequency

../../_images/fig_cumu_mfp7046.png

(b) Spectral and cumulative thermal conductivity w.r.t MFP

Force constants

../../_images/fig_fc216037.png

(a) Force constants w.r.t atomic distance

Summary

../../_images/fig_kappa13406.png

(a) Temperature-dependent lattice thermal conductivity

../../_images/fig_times26959.png

(b) Computation time